🇳🇴 🇬🇧 🇩🇪 🇨🇿 🇫🇮

Meteor over Grua 2026-03-15 00:37:12 UTC

KML-fil  |  Interaktivt kart

Kartet viser peilingene for meteoren. De lysere linjene viser retningene fra observasjonsstedene for meteorens tilsynekomst, og de mørkere linjene viser hvor den sist kunne sees. Den blå pila viser meteorens synlige ferd.

static map
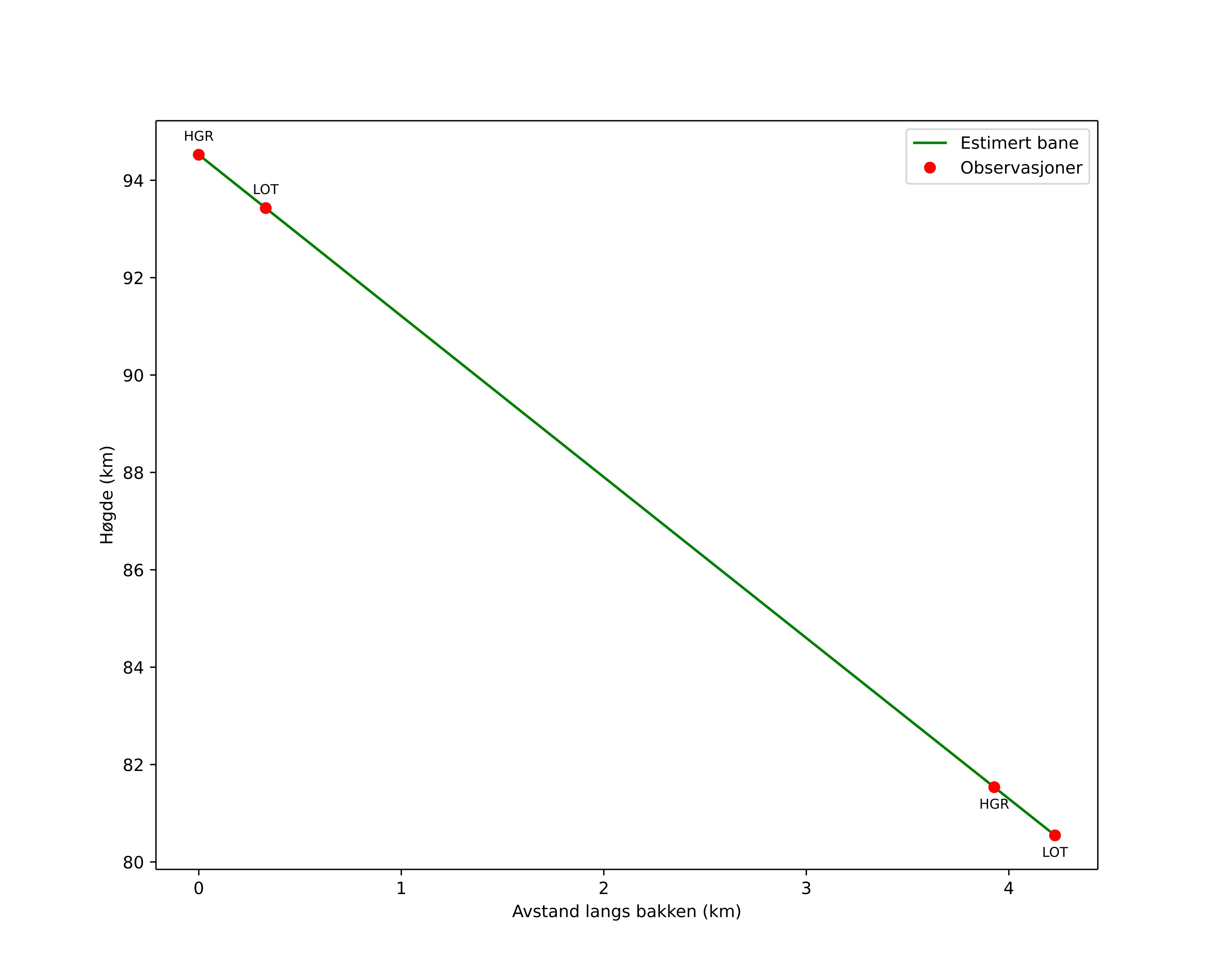
height profile
Meteorens atmosfæriske bane:
Starthøgde: 94,5 km
Slutthøgde: 80,5 km
Startposisjon: 60,120N 10,634E
Sluttposisjon: 60,118N 10,558E
Retning: 267,1°
Fallvinkel: 73,2°
Inngangshastighet: 32,3 km/s
Radiantens rektascensjon: 14:57 (224,3°)
Radiantens deklinasjon: 56,8°
Meteorsverm: sporadisk
Meteoroidens baneelement:
Perihelavstand: 0,916 AU
Eksentrisitet: 0,911
Inklinasjon: 44,7°
Knutelengde: 354,1°
Perihelargument: 213,4°
Midlere anomali: 359,3°
Epoke: 2026 MAR 15 00:37:12
orbit plot

Ikke-interaktivt plott | Interaktivt plott

position vs time
speed and acceleration

Hagar (HGR) cam6


preview
Videoer
• Gnomonisk
• Gnomonisk med koordinater
• Original
• Original med koordinater
Bilder
• Gnomonisk
• Gnomonisk med koordinater
• Original
• Original med koordinater
Tekstfiler
• Deteksjon
• Observasjon
• Koordinater
• Logg
Lysstyrke

Loten (LOT) cam7


preview
Videoer
• Gnomonisk
• Gnomonisk med koordinater
• Original
• Original med koordinater
Bilder
• Gnomonisk
• Gnomonisk med koordinater
• Original
• Original med koordinater
Tekstfiler
• Deteksjon
• Observasjon
• Koordinater
• Logg
Lysstyrke