🇳🇴 🇬🇧 🇩🇪 🇨🇿 🇫🇮

Meteor over Hatteng 2026-03-15 21:47:18 UTC

KML-fil  |  Interaktivt kart

Kartet viser peilingene for meteoren. De lysere linjene viser retningene fra observasjonsstedene for meteorens tilsynekomst, og de mørkere linjene viser hvor den sist kunne sees. Den blå pila viser meteorens synlige ferd.

static map
height profile
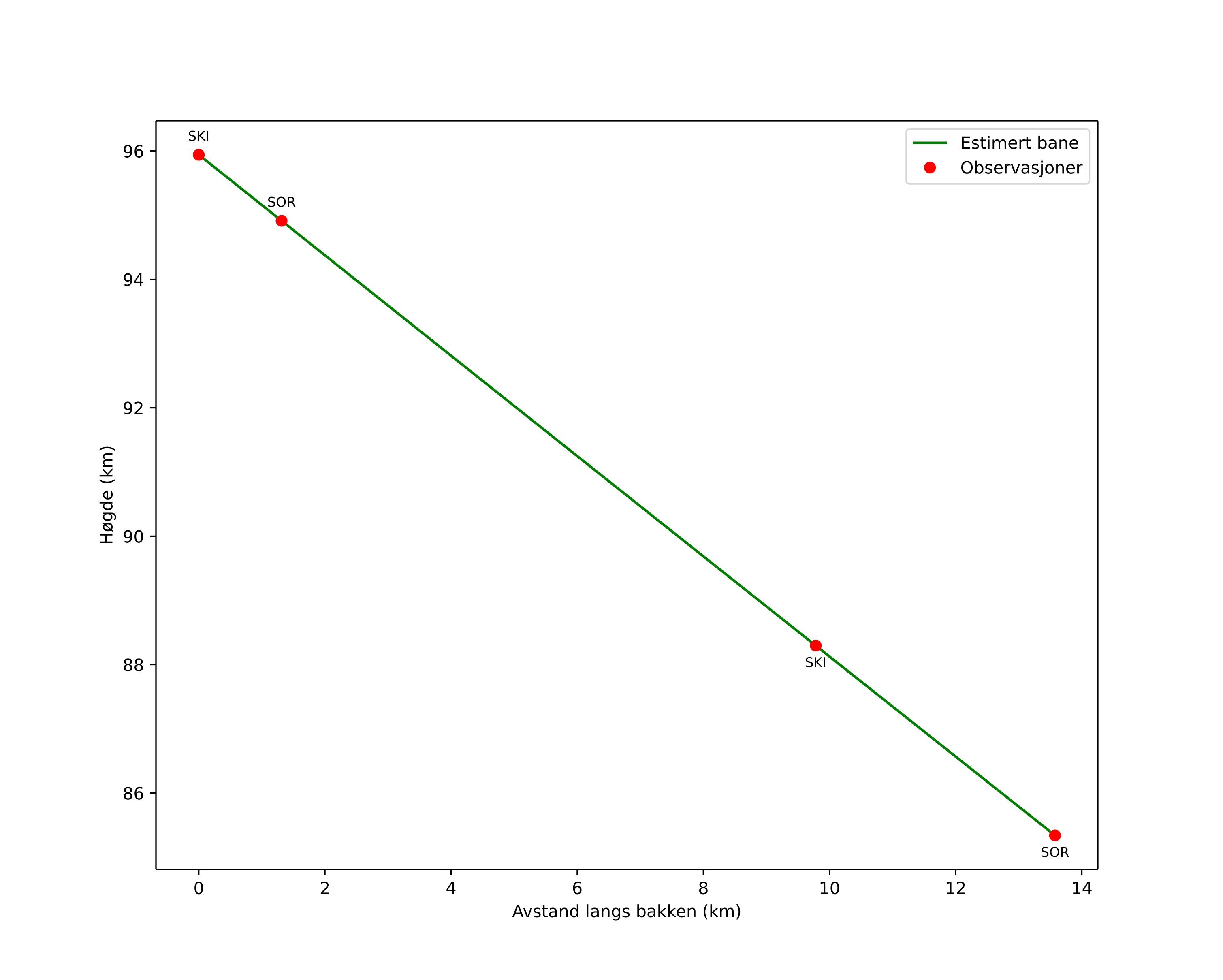
Meteorens atmosfæriske bane:
Starthøgde: 95,9 km
Slutthøgde: 85,3 km
Startposisjon: 69,259N 20,258E
Sluttposisjon: 69,368N 20,105E
Retning: 333,9°
Fallvinkel: 38,0°
Inngangshastighet: 27,7 km/s
Radiantens rektascensjon: 12:06 (181,7°)
Radiantens deklinasjon: 16,7°
Meteorsverm: sporadisk
Meteoroidens baneelement:
Perihelavstand: 0,580 AU
Eksentrisitet: 0,829
Inklinasjon: 13,1°
Knutelengde: 355,0°
Perihelargument: 265,4°
Midlere anomali: 353,3°
Epoke: 2026 MAR 15 21:47:18
orbit plot

Ikke-interaktivt plott | Interaktivt plott

position vs time
speed and acceleration

Skibotn (SKI) cam7


preview
Videoer
• Gnomonisk
• Gnomonisk med koordinater
• Original
• Original med koordinater
Bilder
• Gnomonisk
• Gnomonisk med koordinater
• Original
• Original med koordinater
Tekstfiler
• Deteksjon
• Observasjon
• Koordinater
• Logg
Lysstyrke

Sorreisa (SOR) cam6


preview
Videoer
• Gnomonisk
• Gnomonisk med koordinater
• Original
• Original med koordinater
Bilder
• Gnomonisk
• Gnomonisk med koordinater
• Original
• Original med koordinater
Tekstfiler
• Deteksjon
• Observasjon
• Koordinater
• Logg
Lysstyrke