🇳🇴 🇬🇧 🇩🇪 🇨🇿 🇫🇮

Meteor over Hamnvik 2026-03-15 23:32:38 UTC

KML-fil  |  Interaktivt kart

Kartet viser peilingene for meteoren. De lysere linjene viser retningene fra observasjonsstedene for meteorens tilsynekomst, og de mørkere linjene viser hvor den sist kunne sees. Den blå pila viser meteorens synlige ferd.

static map
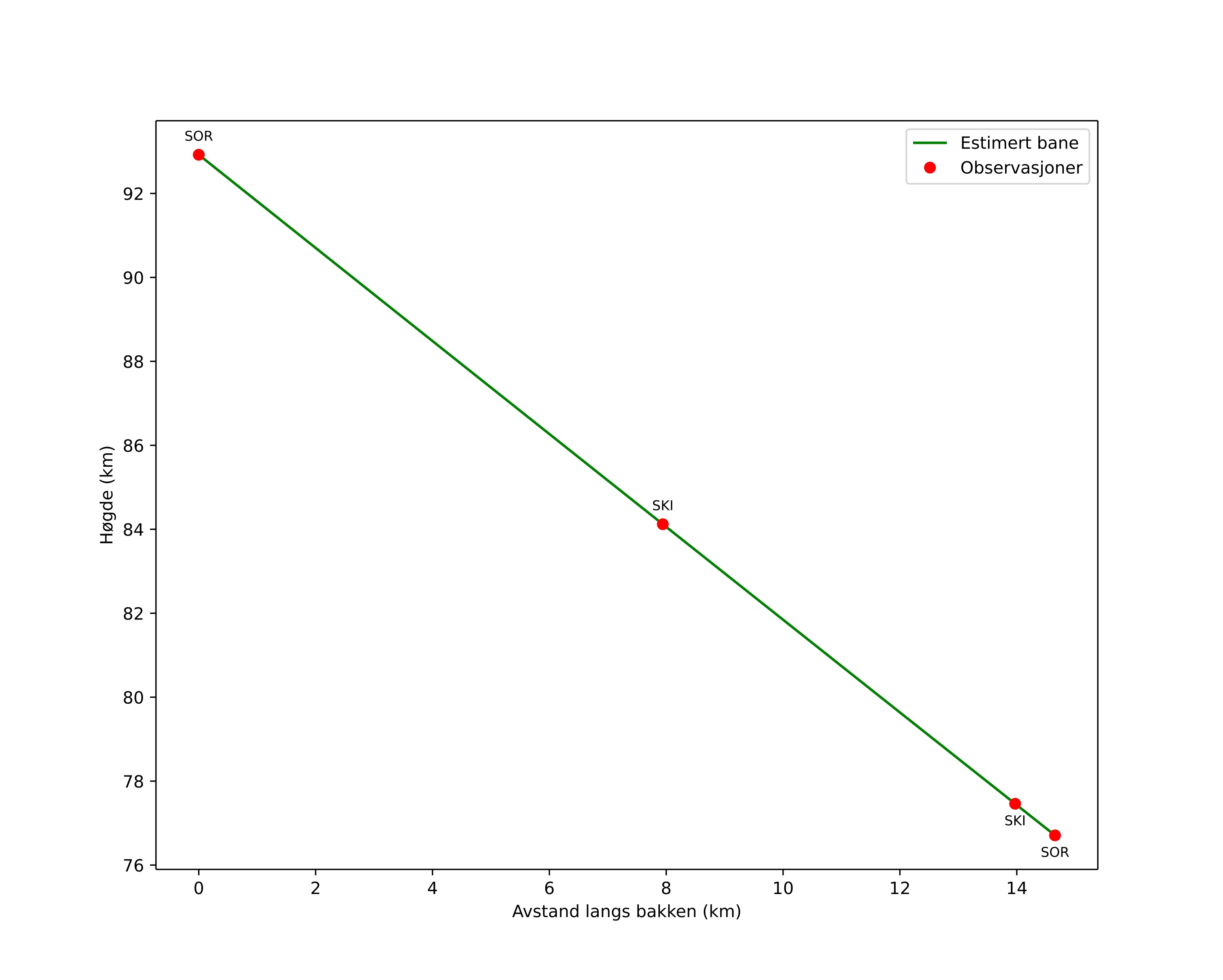
height profile
Meteorens atmosfæriske bane:
Starthøgde: 92,9 km
Slutthøgde: 76,7 km
Startposisjon: 68,802N 17,008E
Sluttposisjon: 68,933N 16,977E
Retning: 355,2°
Fallvinkel: 47,9°
Inngangshastighet: 31,6 km/s
Radiantens rektascensjon: 12:26 (186,6°)
Radiantens deklinasjon: 25,4°
Meteorsverm: sporadisk
Meteoroidens baneelement:
Perihelavstand: 0,598 AU
Eksentrisitet: 0,970
Inklinasjon: 23,3°
Knutelengde: 355,0°
Perihelargument: 259,1°
Midlere anomali: 359,6°
Epoke: 2026 MAR 15 23:32:38
orbit plot

Ikke-interaktivt plott | Interaktivt plott

position vs time
speed and acceleration

Skibotn (SKI) cam5


preview
Videoer
• Gnomonisk
• Gnomonisk med koordinater
• Original
• Original med koordinater
Bilder
• Gnomonisk
• Gnomonisk med koordinater
• Original
• Original med koordinater
Tekstfiler
• Deteksjon
• Observasjon
• Koordinater
• Logg
Lysstyrke

Sorreisa (SOR) cam7


preview
Videoer
• Gnomonisk
• Gnomonisk med koordinater
• Original
• Original med koordinater
Bilder
• Gnomonisk
• Gnomonisk med koordinater
• Original
• Original med koordinater
Tekstfiler
• Deteksjon
• Observasjon
• Koordinater
• Logg
Lysstyrke