🇳🇴 🇬🇧 🇩🇪 🇨🇿 🇫🇮

Meteor over Storslett 2026-03-16 01:54:14 UTC

KML-fil  |  Interaktivt kart

Kartet viser peilingene for meteoren. De lysere linjene viser retningene fra observasjonsstedene for meteorens tilsynekomst, og de mørkere linjene viser hvor den sist kunne sees. Den blå pila viser meteorens synlige ferd.

static map
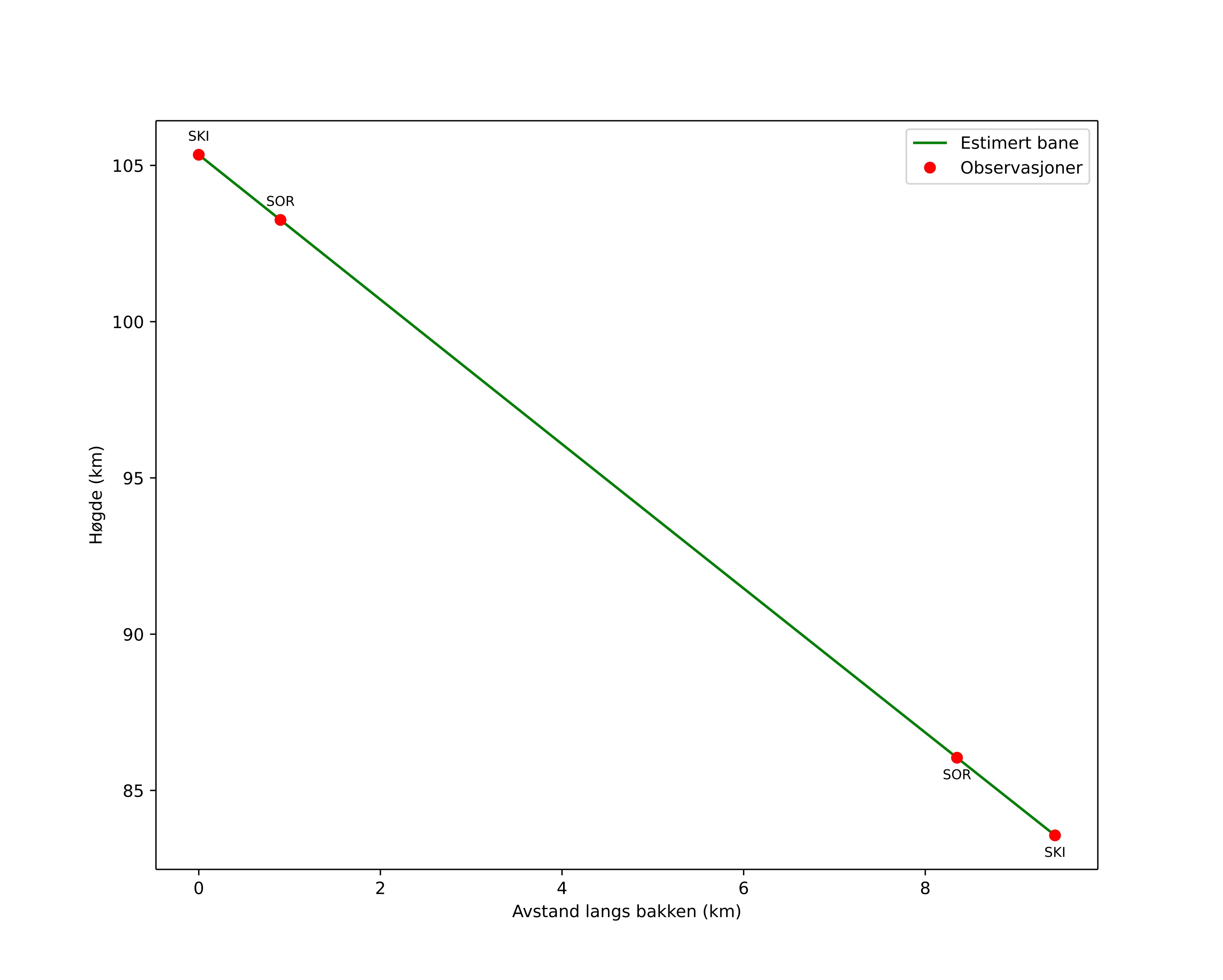
height profile
Meteorens atmosfæriske bane:
Starthøgde: 105,3 km
Slutthøgde: 83,6 km
Startposisjon: 69,647N 21,674E
Sluttposisjon: 69,685N 21,456E
Retning: 296,4°
Fallvinkel: 66,5°
Inngangshastighet: 41,2 km/s
Radiantens rektascensjon: 17:19 (260,0°)
Radiantens deklinasjon: 52,6°
Meteorsverm: sporadisk
Meteoroidens baneelement:
Perihelavstand: 0,990 AU
Eksentrisitet: 1,121
Inklinasjon: 61,9°
Knutelengde: 355,1°
Perihelargument: 187,2°
Midlere anomali: -0,2°
Epoke: 2026 MAR 16 01:54:14
orbit plot

Ikke-interaktivt plott | Interaktivt plott

position vs time
speed and acceleration

Skibotn (SKI) cam6


preview
Videoer
• Gnomonisk
• Gnomonisk med koordinater
• Original
• Original med koordinater
Bilder
• Gnomonisk
• Gnomonisk med koordinater
• Original
• Original med koordinater
Tekstfiler
• Deteksjon
• Observasjon
• Koordinater
• Logg
Lysstyrke

Sorreisa (SOR) cam6


preview
Videoer
• Gnomonisk
• Gnomonisk med koordinater
• Original
• Original med koordinater
Bilder
• Gnomonisk
• Gnomonisk med koordinater
• Original
• Original med koordinater
Tekstfiler
• Deteksjon
• Observasjon
• Koordinater
• Logg
Lysstyrke