🇳🇴 🇬🇧 🇩🇪 🇨🇿 🇫🇮

Meteor over Aas 2026-03-17 00:07:55 UTC

KML-fil  |  Interaktivt kart

Kartet viser peilingene for meteoren. De lysere linjene viser retningene fra observasjonsstedene for meteorens tilsynekomst, og de mørkere linjene viser hvor den sist kunne sees. Den blå pila viser meteorens synlige ferd.

static map
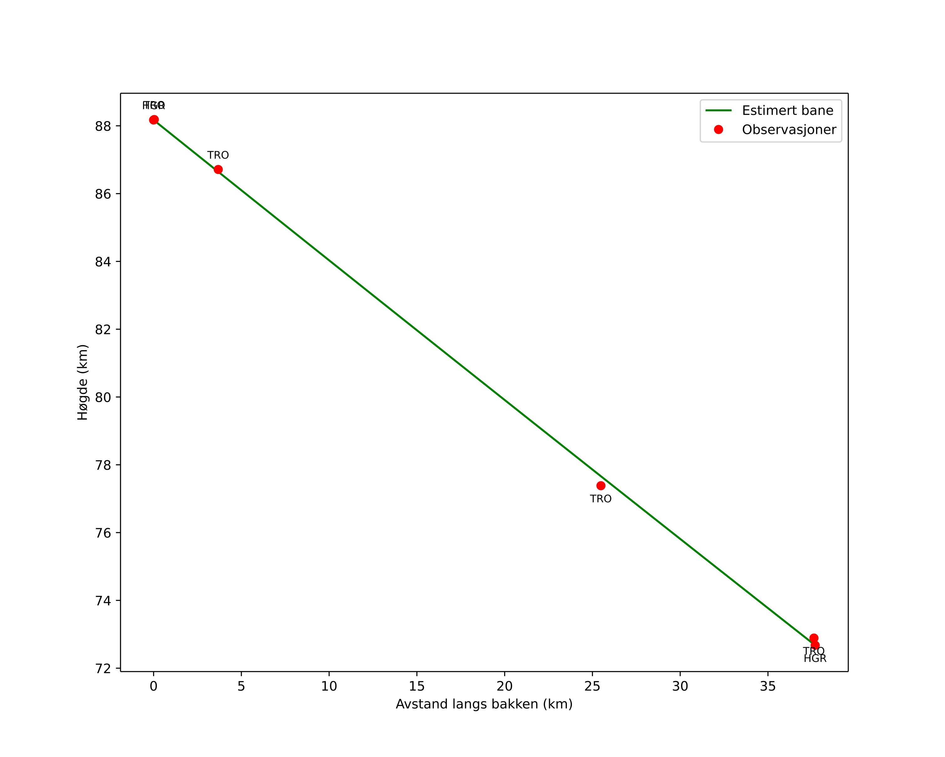
height profile
Meteorens atmosfæriske bane:
Starthøgde: 88,2 km
Slutthøgde: 72,7 km
Startposisjon: 62,225N 11,937E
Sluttposisjon: 62,563N 11,996E
Retning: 4,6°
Fallvinkel: 22,4°
Inngangshastighet: 27,4 km/s
Radiantens rektascensjon: 12:12 (183,2°)
Radiantens deklinasjon: -8,6°
Meteorsverm: sporadisk
Meteoroidens baneelement:
Perihelavstand: 0,422 AU
Eksentrisitet: 0,739
Inklinasjon: 6,5°
Knutelengde: 176,0°
Perihelargument: 110,9°
Midlere anomali: 337,5°
Epoke: 2026 MAR 17 00:07:55
orbit plot

Ikke-interaktivt plott | Interaktivt plott

position vs time
speed and acceleration

Hagar (HGR) cam2


preview
Videoer
• Gnomonisk
• Gnomonisk med koordinater
• Original
• Original med koordinater
Bilder
• Gnomonisk
• Gnomonisk med koordinater
• Original
• Original med koordinater
Tekstfiler
• Deteksjon
• Observasjon
• Koordinater
• Logg
Lysstyrke

Trondheim (TRO) cam2


preview
Videoer
• Gnomonisk
• Gnomonisk med koordinater
• Original
• Original med koordinater
Bilder
• Gnomonisk
• Gnomonisk med koordinater
• Original
• Original med koordinater
Tekstfiler
• Deteksjon
• Observasjon
• Koordinater
• Logg
Lysstyrke

Trondheim (TRO) cam3


preview
Videoer
• Gnomonisk
• Gnomonisk med koordinater
• Original
• Original med koordinater
Bilder
• Gnomonisk
• Gnomonisk med koordinater
• Original
• Original med koordinater
Tekstfiler
• Deteksjon
• Observasjon
• Koordinater
• Logg
Lysstyrke