🇳🇴 🇬🇧 🇩🇪 🇨🇿 🇫🇮

Meteor, poloha: Elverum 2026-03-17 01:04:23 UTC

Soubor KML  |  Interaktivní mapa

Mapa zobrazuje dráhy meteoru. Světlejší čáry ukazují směry od pozorovacích stanic při objevení se meteoru a tmavší čáry, kde byl naposledy viděn. Modrá šipka značí viditelnou dráhu meteoru.

static map
height profile
wind profile
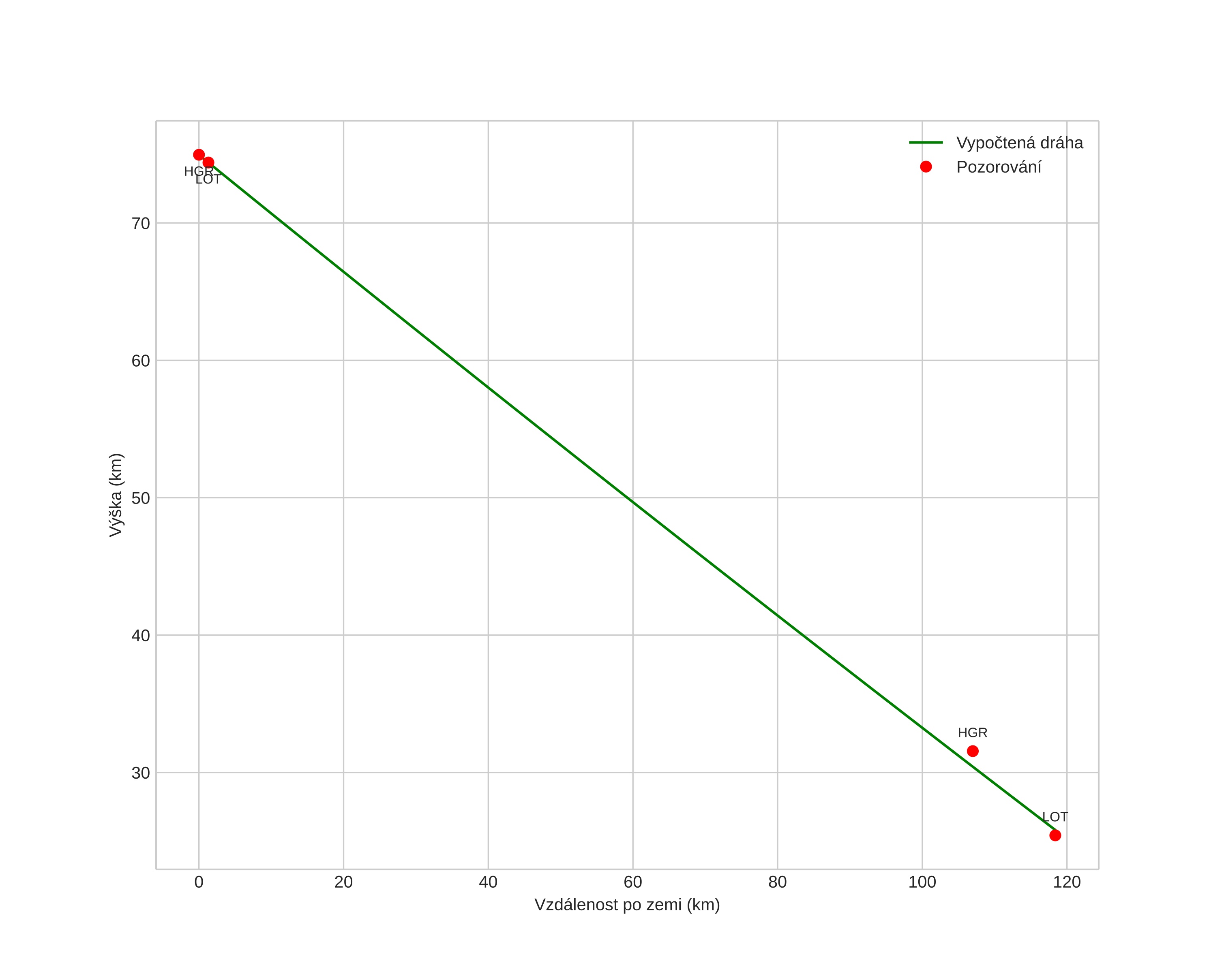
Atmosférická dráha meteoru:
Počáteční výška: 75,0 km
Konečná výška: 25,8 km
Počáteční poloha: 60,859N 13,739E
Konečná poloha: 60,721N 11,575E
Směr: 263,5°
Sklon: 22,6°
orbit plot

Neinteraktivní graf | Interaktivní graf

position vs time
speed and acceleration