🇳🇴 🇬🇧 🇩🇪 🇨🇿 🇫🇮

Meteor, poloha: Larvik 2026-03-26 23:45:06 UTC

Soubor KML  |  Interaktivní mapa

Mapa zobrazuje dráhy meteoru. Světlejší čáry ukazují směry od pozorovacích stanic při objevení se meteoru a tmavší čáry, kde byl naposledy viděn. Modrá šipka značí viditelnou dráhu meteoru.

static map
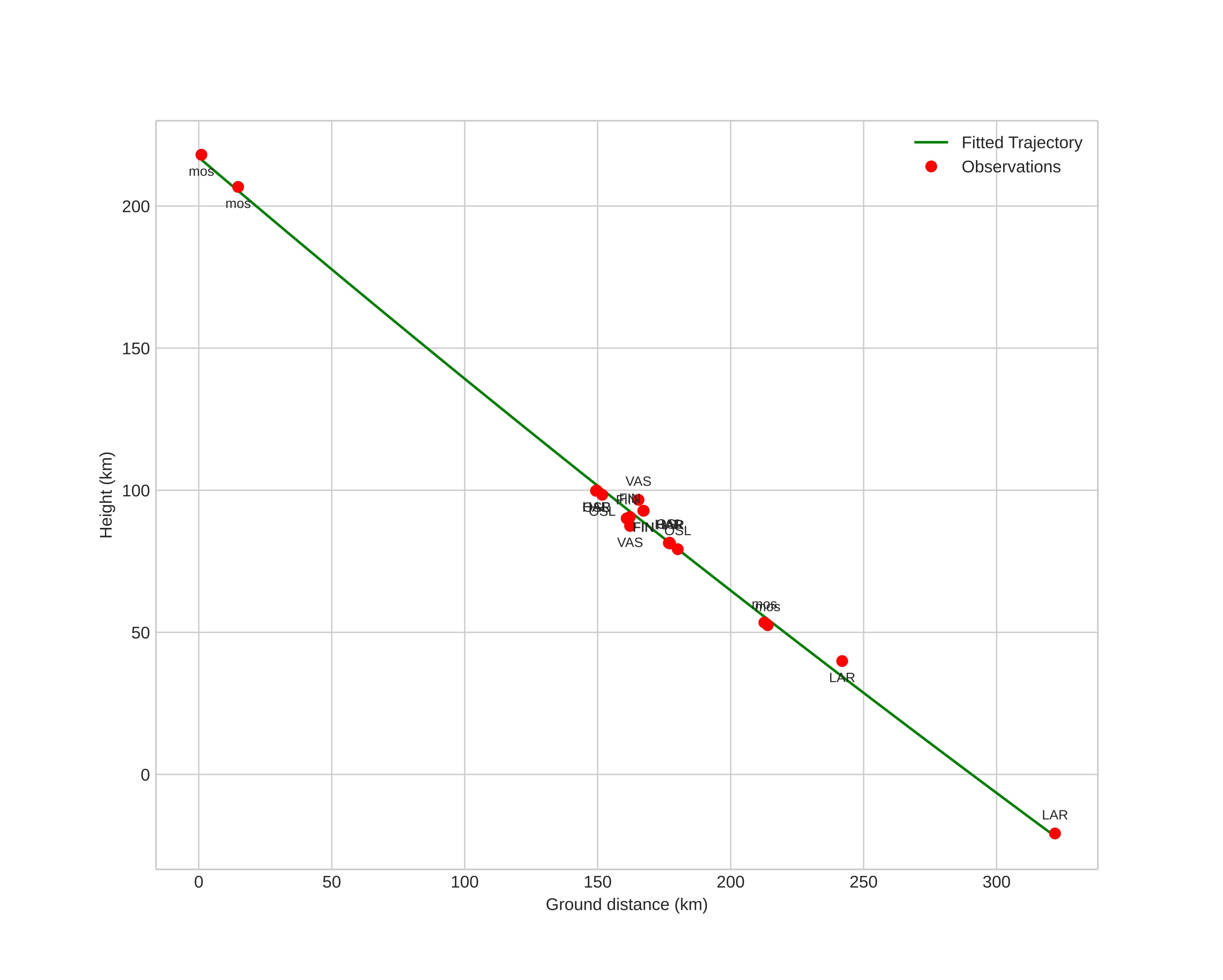
height profile
wind profile
Meteor's Atmospheric Trajectory:
Start height: 217,1 km
End height: -21,4 km
Start position: 60,238N 15,238E
End position: 59,048N 10,022E
Direction: 248,0°
Inclination angle: 36,6°
orbit plot

Neinteraktivní graf | Interaktivní graf

position vs time
speed and acceleration

Finnskogen (FIN) cam3


preview
Videos:
Gnomonic
Gnomonic with coordinates
Original
Original with coordinates
Images:
Gnomonic
Gnomonic with coordinates
Original
Original with coordinates
Text Files:
Detection
Observation
Coordinates
Log
Brightness

Finnskogen (FIN) cam4


preview
Videos:
Gnomonic
Gnomonic with coordinates
Original
Original with coordinates
Images:
Gnomonic
Gnomonic with coordinates
Original
Original with coordinates
Text Files:
Detection
Observation
Coordinates
Log
Brightness