🇳🇴 🇬🇧 🇩🇪 🇨🇿 🇫🇮

Meteor, poloha: Borlänge 2026-03-28 02:31:39 UTC

Soubor KML  |  Interaktivní mapa

Mapa zobrazuje dráhy meteoru. Světlejší čáry ukazují směry od pozorovacích stanic při objevení se meteoru a tmavší čáry, kde byl naposledy viděn. Modrá šipka značí viditelnou dráhu meteoru.

static map
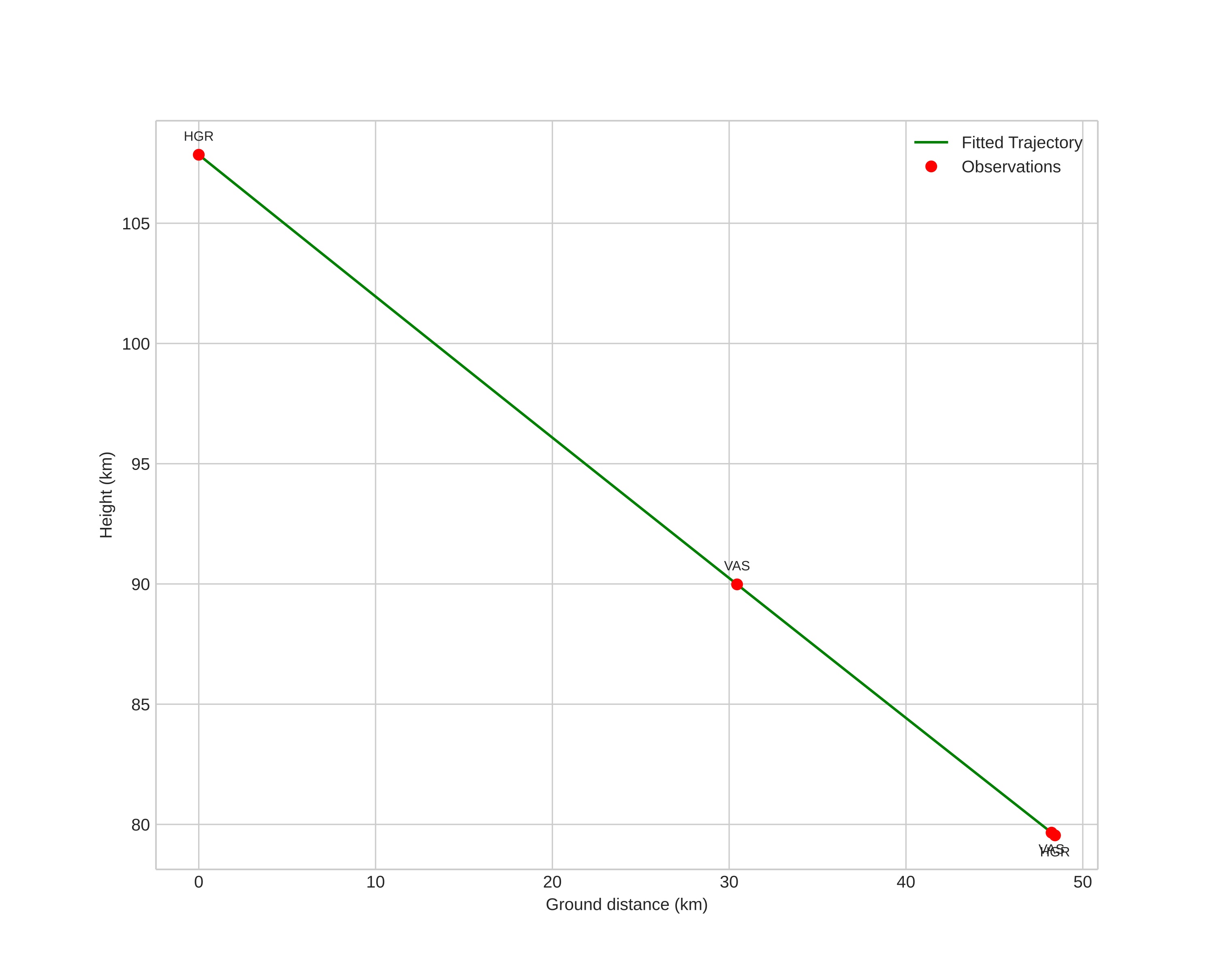
height profile
Meteor's Atmospheric Trajectory:
Start height: 107,8 km
End height: 79,5 km
Start position: 60,201N 15,805E
End position: 60,557N 15,298E
Direction: 325,1°
Inclination angle: 30,3°
Entry speed: 68,0 km/s
Radiant R,A,: 17:53 (268,5°)
Radiant Dec,: 4,5°
Meteor Shower: sporadic
Meteoroid's Orbital Elements:
Perihelion distance: 0,961 AU
Eccentricity: 1,110
Inclination: 132,5°
Long, of Asc, Node: 7,1°
Argument of Perihelion: 201,6°
Mean Anomaly: -0,6°
Epoch: 2026 MAR 28 02:31:39
orbit plot

Neinteraktivní graf | Interaktivní graf

position vs time
speed and acceleration