🇳🇴 🇬🇧 🇩🇪 🇨🇿 🇫🇮

Meteor, poloha: Spetalen 2026-03-29 00:37:29 UTC

Soubor KML  |  Interaktivní mapa

Mapa zobrazuje dráhy meteoru. Světlejší čáry ukazují směry od pozorovacích stanic při objevení se meteoru a tmavší čáry, kde byl naposledy viděn. Modrá šipka značí viditelnou dráhu meteoru.

static map
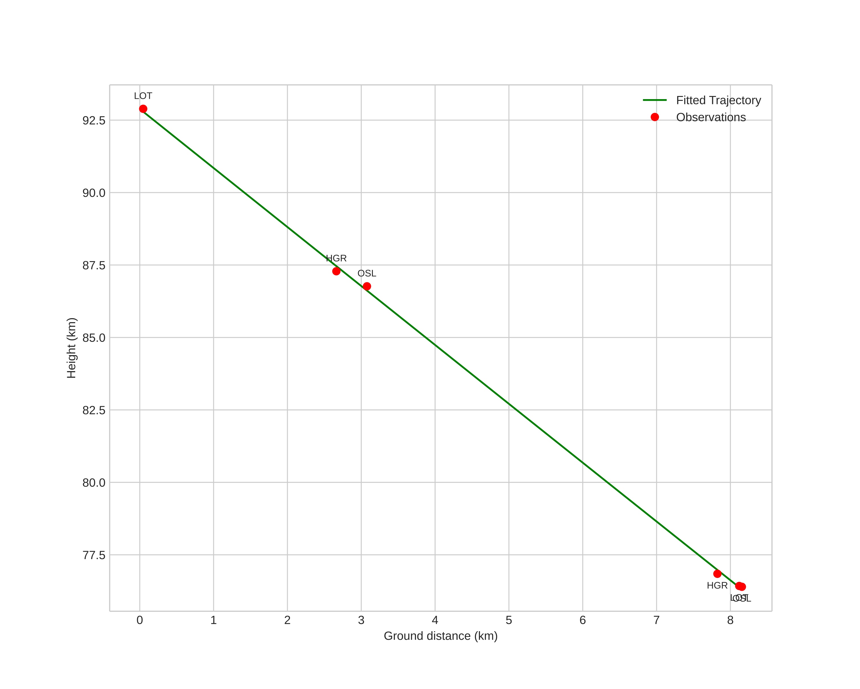
height profile
wind profile
Meteor's Atmospheric Trajectory:
Start height: 92,9 km
End height: 76,4 km
Start position: 60,385N 11,879E
End position: 60,312N 11,868E
Direction: 184,2°
Inclination angle: 63,8°
Entry speed: 19,1 km/s
Radiant R,A,: 17:54 (268,6°)
Radiant Dec,: 88,5°
Meteor Shower: sporadic
Meteoroid's Orbital Elements:
Perihelion distance: 0,997 AU
Eccentricity: 0,657
Inclination: 22,0°
Long, of Asc, Node: 8,0°
Argument of Perihelion: 175,2°
Mean Anomaly: 0,8°
Epoch: 2026 MAR 29 00:37:29
orbit plot

Neinteraktivní graf | Interaktivní graf

position vs time
speed and acceleration