🇳🇴 🇬🇧 🇩🇪 🇨🇿 🇫🇮

Meteor, poloha: Lysaker 2026-03-29 02:20:24 UTC

Soubor KML  |  Interaktivní mapa

Mapa zobrazuje dráhy meteoru. Světlejší čáry ukazují směry od pozorovacích stanic při objevení se meteoru a tmavší čáry, kde byl naposledy viděn. Modrá šipka značí viditelnou dráhu meteoru.

static map
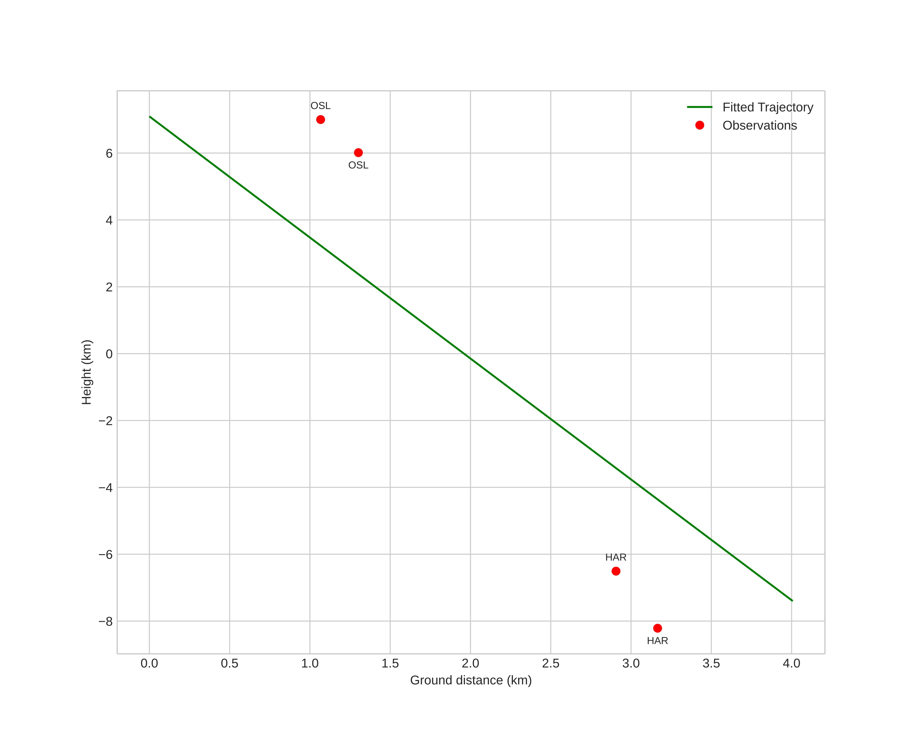
height profile
Meteor's Atmospheric Trajectory:
Start height: 7,1 km
End height: -7,4 km
Start position: 60,002N 10,593E
End position: 59,968N 10,614E
Direction: 163,1°
Inclination angle: 74,6°
Entry speed: 4,9 km/s
position vs time
speed and acceleration