🇳🇴 🇬🇧 🇩🇪 🇨🇿 🇫🇮

Meteor, poloha: Sandvika 2026-03-29 02:28:16 UTC

Soubor KML  |  Interaktivní mapa

Mapa zobrazuje dráhy meteoru. Světlejší čáry ukazují směry od pozorovacích stanic při objevení se meteoru a tmavší čáry, kde byl naposledy viděn. Modrá šipka značí viditelnou dráhu meteoru.

static map
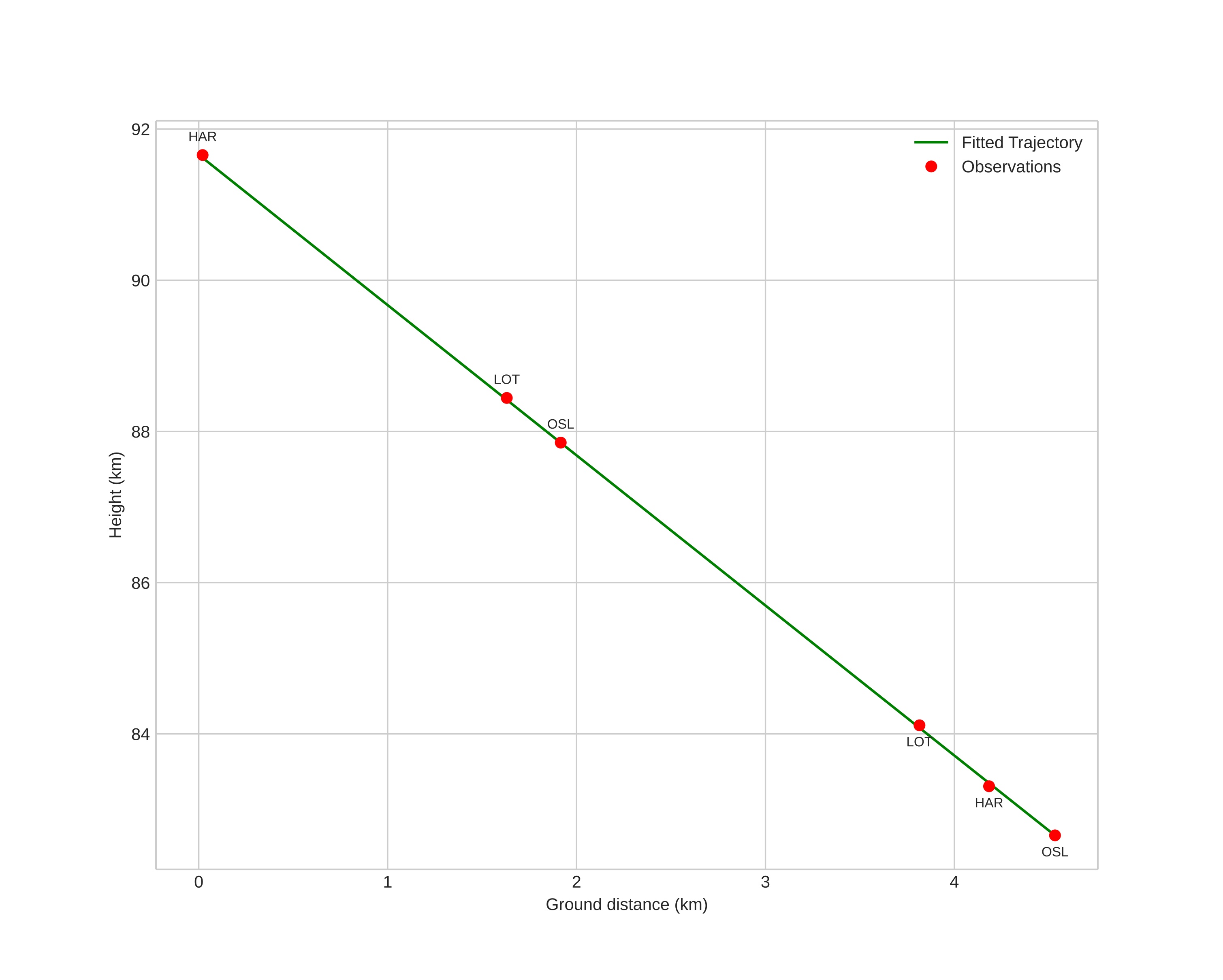
height profile
Meteor's Atmospheric Trajectory:
Start height: 91,7 km
End height: 82,7 km
Start position: 59,891N 10,608E
End position: 59,874N 10,535E
Direction: 244,6°
Inclination angle: 63,3°
Entry speed: 24,7 km/s
Radiant R,A,: 19:25 (291,3°)
Radiant Dec,: 60,0°
Meteor Shower: sporadic
Meteoroid's Orbital Elements:
Perihelion distance: 0,974 AU
Eccentricity: 0,405
Inclination: 38,1°
Long, of Asc, Node: 8,1°
Argument of Perihelion: 156,1°
Mean Anomaly: 9,4°
Epoch: 2026 MAR 29 02:28:16
orbit plot

Neinteraktivní graf | Interaktivní graf

position vs time
speed and acceleration