🇳🇴 🇬🇧 🇩🇪 🇨🇿 🇫🇮

Meteor over Innbygda 2026-04-06 21:58:26 UTC

KML-fil  |  Interaktivt kart

Kartet viser peilingene for meteoren. De lysere linjene viser retningene fra observasjonsstedene for meteorens tilsynekomst, og de mørkere linjene viser hvor den sist kunne sees. Den blå pila viser meteorens synlige ferd.

static map
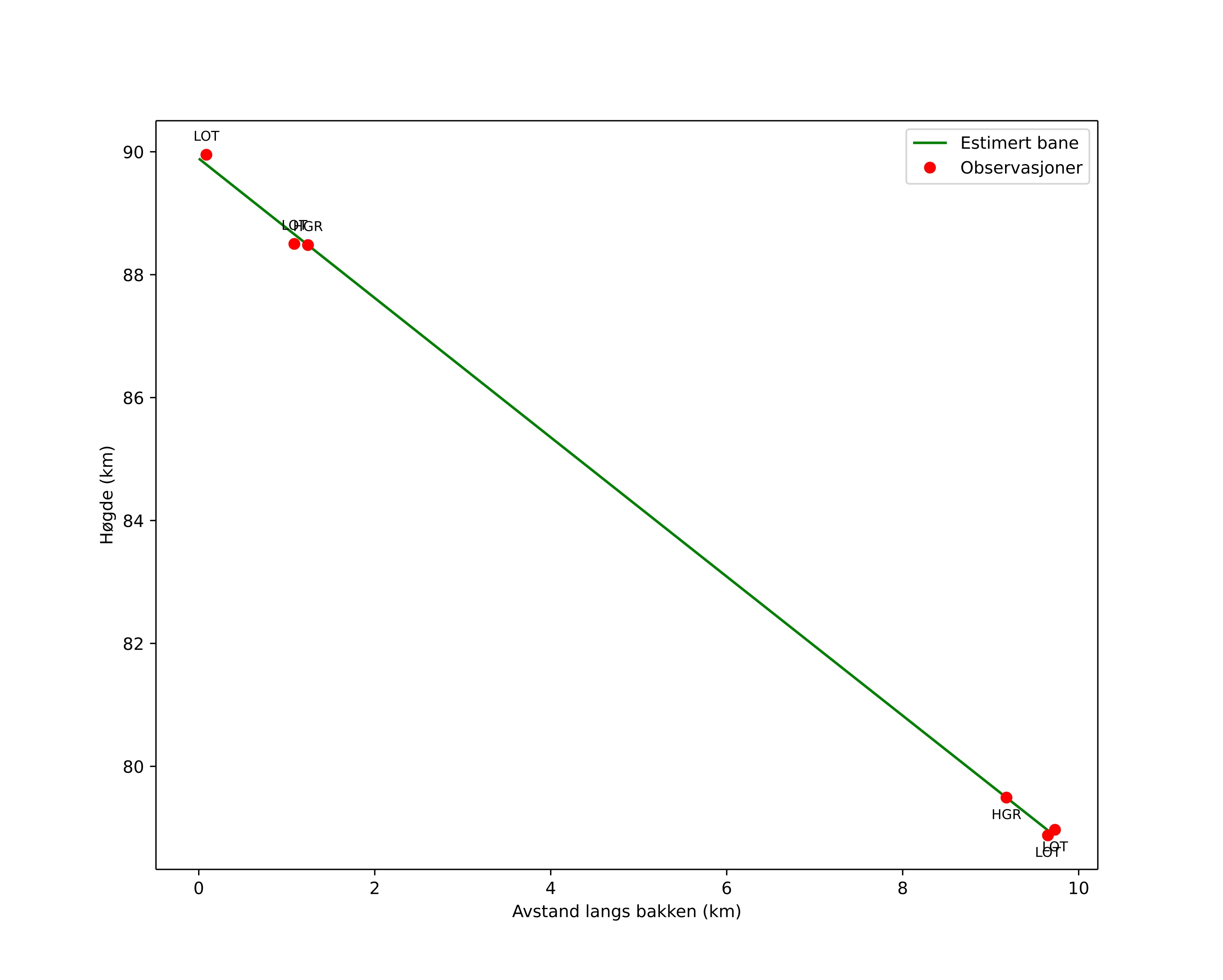
height profile
Meteorens atmosfæriske bane:
Starthøgde: 89,9 km
Slutthøgde: 78,9 km
Startposisjon: 61,011N 12,741E
Sluttposisjon: 61,071N 12,610E
Retning: 313,4°
Fallvinkel: 48,6°
Inngangshastighet: 27,0 km/s
Radiantens rektascensjon: 13:59 (209,8°)
Radiantens deklinasjon: 24,2°
Meteorsverm: sporadisk
Meteoroidens baneelement:
Perihelavstand: 0,678 AU
Eksentrisitet: 0,750
Inklinasjon: 24,9°
Knutelengde: 16,7°
Perihelargument: 255,7°
Midlere anomali: 350,5°
Epoke: 2026 APR 06 21:58:26
orbit plot

Ikke-interaktivt plott | Interaktivt plott

position vs time
speed and acceleration

Hagar (HGR) cam3


preview
Videoer
• Gnomonisk
• Gnomonisk med koordinater
• Original
• Original med koordinater
Bilder
• Gnomonisk
• Gnomonisk med koordinater
• Original
• Original med koordinater
Tekstfiler
• Deteksjon
• Observasjon
• Koordinater
• Logg
Lysstyrke

Loten (LOT) cam2


preview
Videoer
• Gnomonisk
• Gnomonisk med koordinater
• Original
• Original med koordinater
Bilder
• Gnomonisk
• Gnomonisk med koordinater
• Original
• Original med koordinater
Tekstfiler
• Deteksjon
• Observasjon
• Koordinater
• Logg
Lysstyrke

Loten (LOT) cam6


preview
Videoer
• Gnomonisk
• Gnomonisk med koordinater
• Original
• Original med koordinater
Bilder
• Gnomonisk
• Gnomonisk med koordinater
• Original
• Original med koordinater
Tekstfiler
• Deteksjon
• Observasjon
• Koordinater
• Logg
Lysstyrke