🇳🇴 🇬🇧 🇩🇪 🇨🇿 🇫🇮

Meteor over Storsteinnes 2026-04-06 23:16:13 UTC

KML-fil  |  Interaktivt kart

Kartet viser peilingene for meteoren. De lysere linjene viser retningene fra observasjonsstedene for meteorens tilsynekomst, og de mørkere linjene viser hvor den sist kunne sees. Den blå pila viser meteorens synlige ferd.

static map
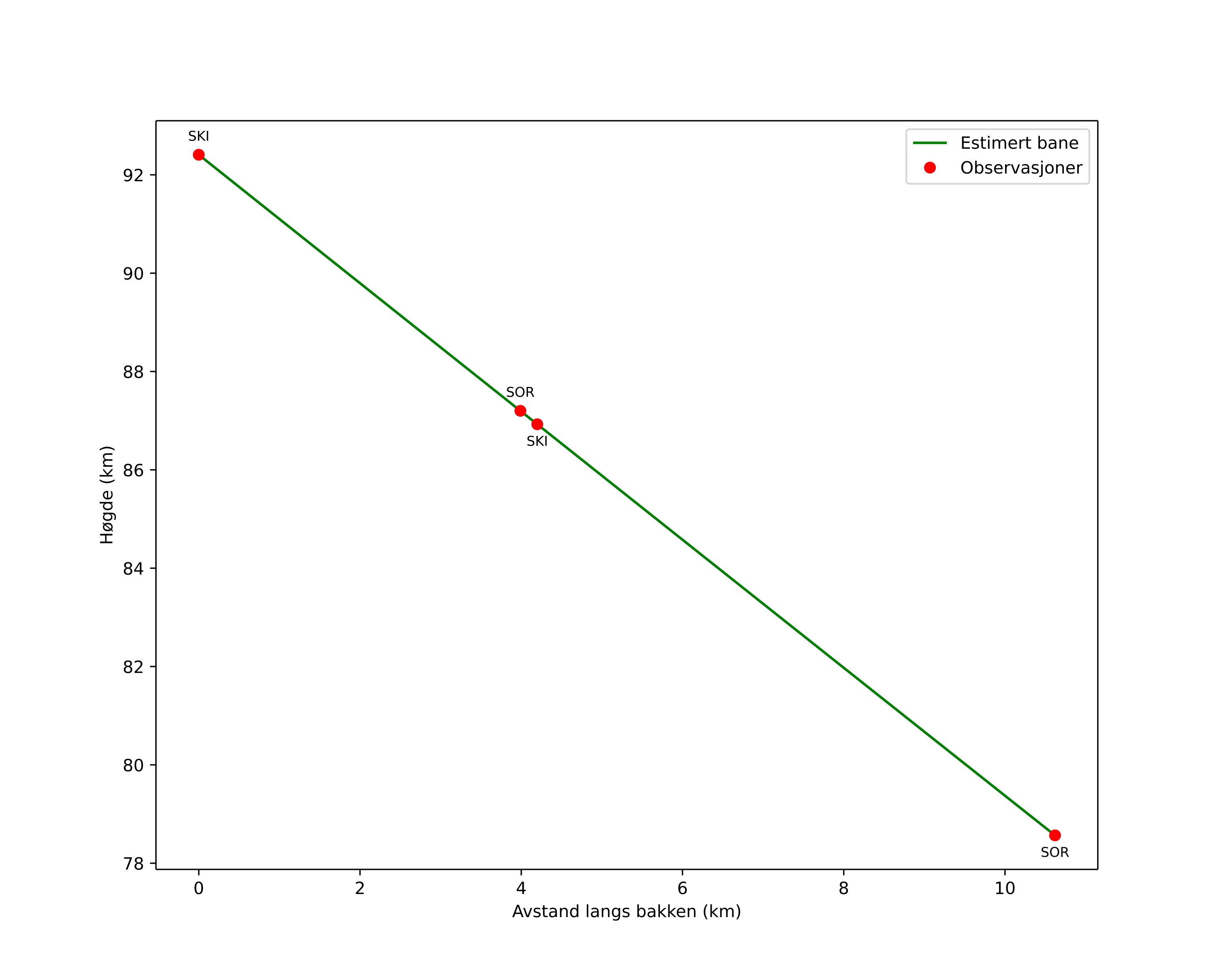
height profile
Meteorens atmosfæriske bane:
Starthøgde: 92,4 km
Slutthøgde: 78,6 km
Startposisjon: 69,065N 19,092E
Sluttposisjon: 69,147N 18,958E
Retning: 329,9°
Fallvinkel: 52,4°
Inngangshastighet: 33,1 km/s
Radiantens rektascensjon: 14:57 (224,5°)
Radiantens deklinasjon: 32,4°
Meteorsverm: sporadisk
Meteoroidens baneelement:
Perihelavstand: 0,709 AU
Eksentrisitet: 0,838
Inklinasjon: 41,7°
Knutelengde: 16,8°
Perihelargument: 248,8°
Midlere anomali: 355,8°
Epoke: 2026 APR 06 23:16:13
orbit plot

Ikke-interaktivt plott | Interaktivt plott

position vs time
speed and acceleration

Skibotn (SKI) cam7


preview
Videoer
• Gnomonisk
• Gnomonisk med koordinater
• Original
• Original med koordinater
Bilder
• Gnomonisk
• Gnomonisk med koordinater
• Original
• Original med koordinater
Tekstfiler
• Deteksjon
• Observasjon
• Koordinater
• Logg
Lysstyrke

Sorreisa (SOR) cam6


preview
Videoer
• Gnomonisk
• Gnomonisk med koordinater
• Original
• Original med koordinater
Bilder
• Gnomonisk
• Gnomonisk med koordinater
• Original
• Original med koordinater
Tekstfiler
• Deteksjon
• Observasjon
• Koordinater
• Logg
Lysstyrke