🇳🇴 🇬🇧 🇩🇪 🇨🇿 🇫🇮

Meteor over Geilo 2026-04-07 00:49:32 UTC

KML-fil  |  Interaktivt kart

Kartet viser peilingene for meteoren. De lysere linjene viser retningene fra observasjonsstedene for meteorens tilsynekomst, og de mørkere linjene viser hvor den sist kunne sees. Den blå pila viser meteorens synlige ferd.

static map
height profile
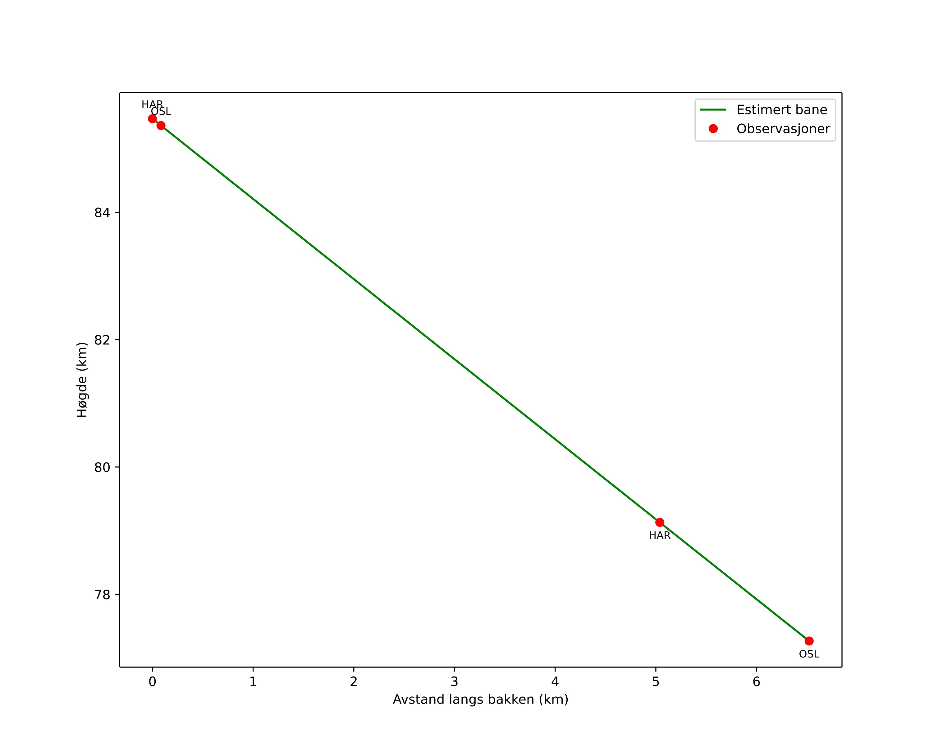
Meteorens atmosfæriske bane:
Starthøgde: 85,5 km
Slutthøgde: 77,3 km
Startposisjon: 60,440N 8,172E
Sluttposisjon: 60,381N 8,173E
Retning: 179,1°
Fallvinkel: 51,5°
Inngangshastighet: 49,1 km/s
Radiantens rektascensjon: 02:39 (39,9°)
Radiantens deklinasjon: 80,5°
Meteorsverm: sporadisk
Meteoroidens baneelement:
Perihelavstand: 0,976 AU
Eksentrisitet: 3,905
Inklinasjon: 39,3°
Knutelengde: 16,9°
Perihelargument: 165,7°
Midlere anomali: 32,4°
Epoke: 2026 APR 07 00:49:32
orbit plot

Ikke-interaktivt plott | Interaktivt plott

position vs time
speed and acceleration

Harestua (HAR) cam5


preview
Videoer
• Gnomonisk
• Gnomonisk med koordinater
• Original
• Original med koordinater
Bilder
• Gnomonisk
• Gnomonisk med koordinater
• Original
• Original med koordinater
Tekstfiler
• Deteksjon
• Observasjon
• Koordinater
• Logg
Lysstyrke

Voksenlia (OSL) cam2


preview
Videoer
• Gnomonisk
• Gnomonisk med koordinater
• Original
• Original med koordinater
Bilder
• Gnomonisk
• Gnomonisk med koordinater
• Original
• Original med koordinater
Tekstfiler
• Deteksjon
• Observasjon
• Koordinater
• Logg
Lysstyrke