🇳🇴 🇬🇧 🇩🇪 🇨🇿 🇫🇮

Meteor over Stange 2026-04-07 23:12:17 UTC

KML-fil  |  Interaktivt kart

Kartet viser peilingene for meteoren. De lysere linjene viser retningene fra observasjonsstedene for meteorens tilsynekomst, og de mørkere linjene viser hvor den sist kunne sees. Den blå pila viser meteorens synlige ferd.

static map
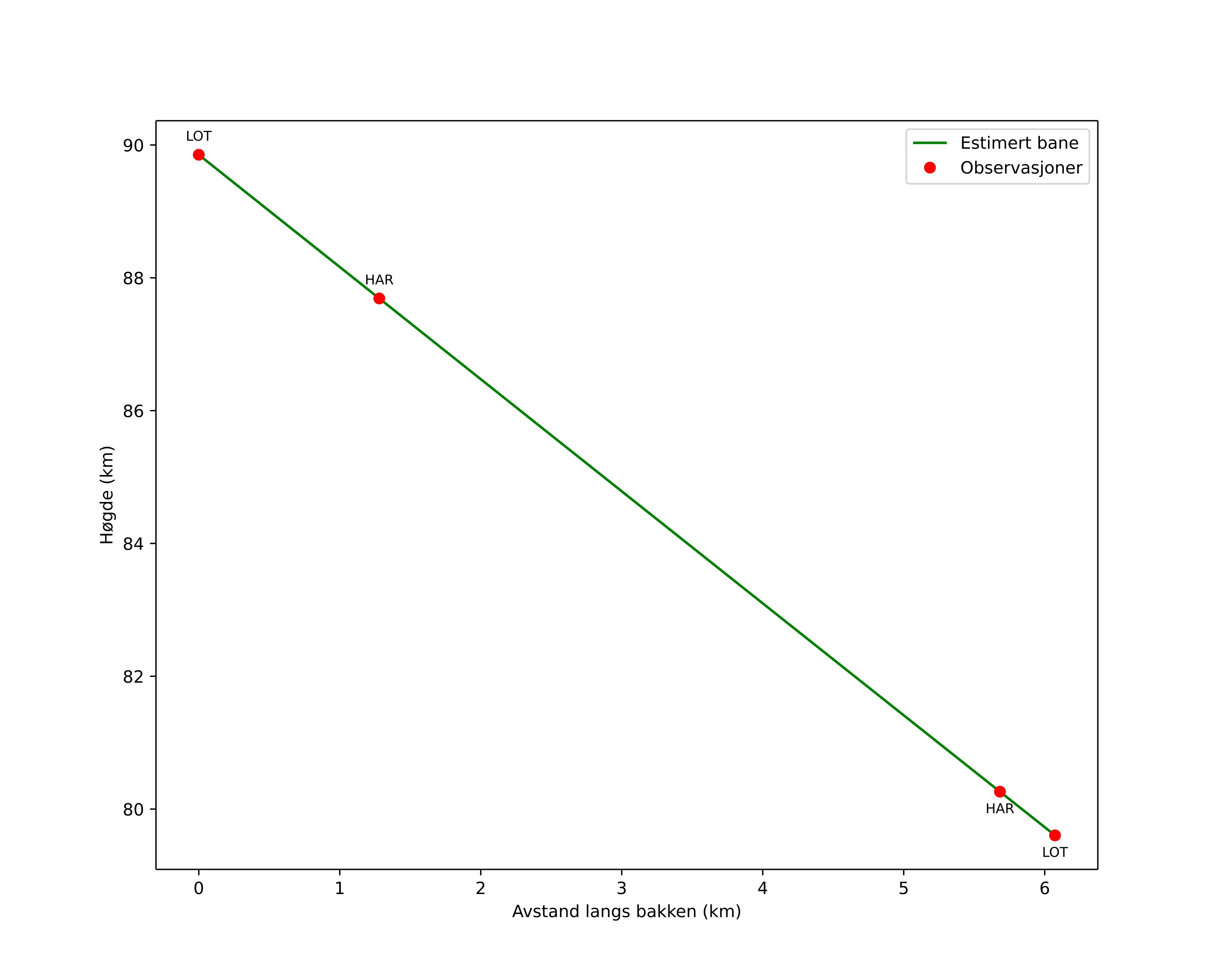
height profile
Meteorens atmosfæriske bane:
Starthøgde: 89,9 km
Slutthøgde: 79,6 km
Startposisjon: 60,637N 11,238E
Sluttposisjon: 60,634N 11,127E
Retning: 266,8°
Fallvinkel: 59,5°
Inngangshastighet: 37,3 km/s
Radiantens rektascensjon: 16:30 (247,5°)
Radiantens deklinasjon: 49,6°
Meteorsverm: sporadisk
Meteoroidens baneelement:
Perihelavstand: 0,940 AU
Eksentrisitet: 1,025
Inklinasjon: 54,1°
Knutelengde: 17,8°
Perihelargument: 208,4°
Midlere anomali: -0,1°
Epoke: 2026 APR 07 23:12:17
orbit plot

Ikke-interaktivt plott | Interaktivt plott

position vs time
speed and acceleration

Harestua (HAR) cam6


preview
Videoer
• Gnomonisk
• Gnomonisk med koordinater
• Original
• Original med koordinater
Bilder
• Gnomonisk
• Gnomonisk med koordinater
• Original
• Original med koordinater
Tekstfiler
• Deteksjon
• Observasjon
• Koordinater
• Logg
Lysstyrke

Loten (LOT) cam7


preview
Videoer
• Gnomonisk
• Gnomonisk med koordinater
• Original
• Original med koordinater
Bilder
• Gnomonisk
• Gnomonisk med koordinater
• Original
• Original med koordinater
Tekstfiler
• Deteksjon
• Observasjon
• Koordinater
• Logg
Lysstyrke