🇳🇴 🇬🇧 🇩🇪 🇨🇿 🇫🇮

Meteor over Hansnes 2026-04-08 00:02:49 UTC

KML-fil  |  Interaktivt kart

Kartet viser peilingene for meteoren. De lysere linjene viser retningene fra observasjonsstedene for meteorens tilsynekomst, og de mørkere linjene viser hvor den sist kunne sees. Den blå pila viser meteorens synlige ferd.

static map
height profile
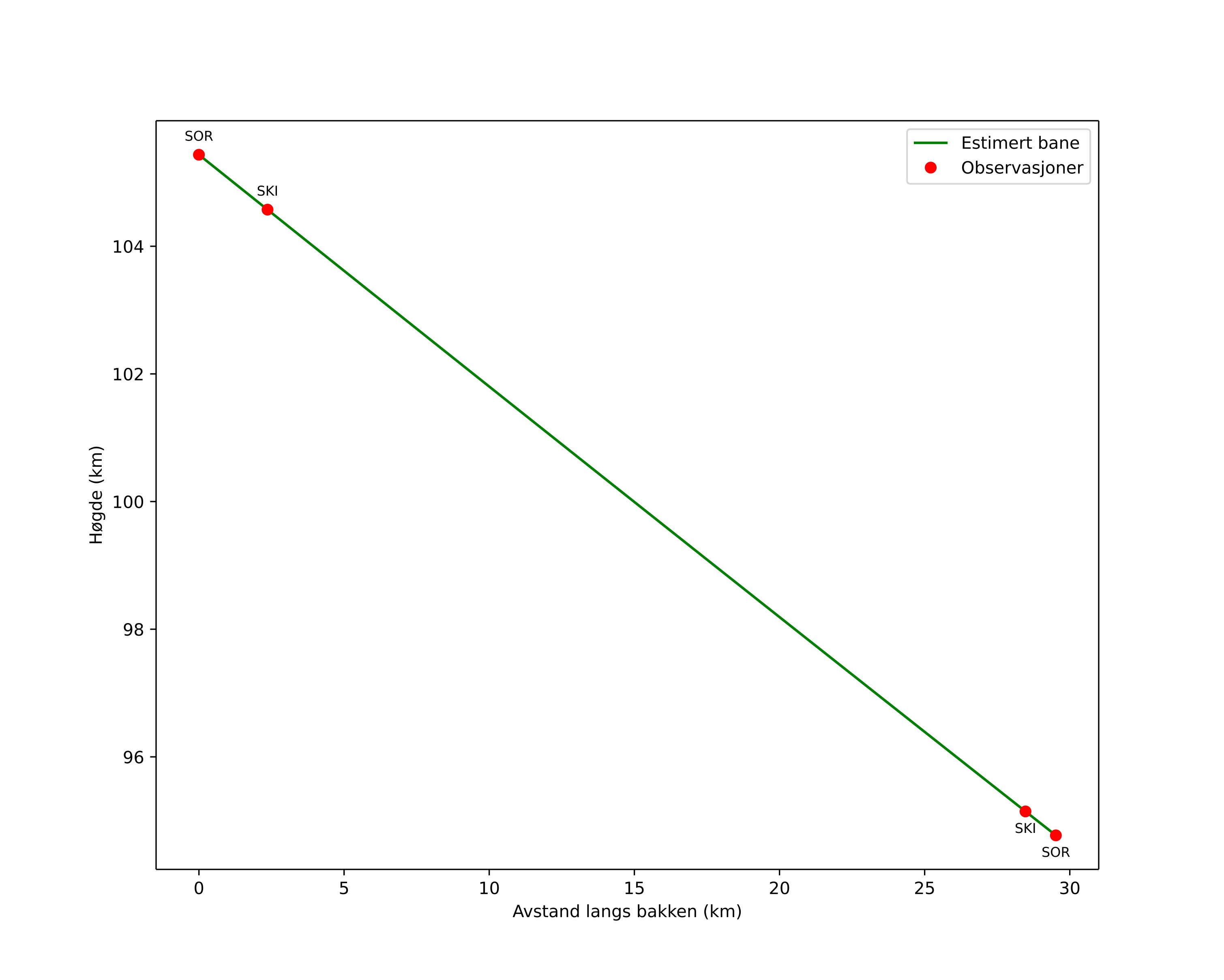
Meteorens atmosfæriske bane:
Starthøgde: 105,4 km
Slutthøgde: 94,8 km
Startposisjon: 70,925N 20,273E
Sluttposisjon: 70,923N 19,460E
Retning: 269,8°
Fallvinkel: 19,8°
Inngangshastighet: 64,4 km/s
Radiantens rektascensjon: 20:02 (300,5°)
Radiantens deklinasjon: 18,1°
Meteorsverm: sporadisk
Meteoroidens baneelement:
Perihelavstand: 0,873 AU
Eksentrisitet: 1,322
Inklinasjon: 114,3°
Knutelengde: 17,8°
Perihelargument: 140,8°
Midlere anomali: 5,2°
Epoke: 2026 APR 08 00:02:49
orbit plot

Ikke-interaktivt plott | Interaktivt plott

position vs time
speed and acceleration

Skibotn (SKI) cam1


preview
Videoer
• Gnomonisk
• Gnomonisk med koordinater
• Original
• Original med koordinater
Bilder
• Gnomonisk
• Gnomonisk med koordinater
• Original
• Original med koordinater
Tekstfiler
• Deteksjon
• Observasjon
• Koordinater
• Logg
Lysstyrke

Sorreisa (SOR) cam1


preview
Videoer
• Gnomonisk
• Gnomonisk med koordinater
• Original
• Original med koordinater
Bilder
• Gnomonisk
• Gnomonisk med koordinater
• Original
• Original med koordinater
Tekstfiler
• Deteksjon
• Observasjon
• Koordinater
• Logg
Lysstyrke