🇳🇴 🇬🇧 🇩🇪 🇨🇿 🇫🇮

Meteor over Malung 2026-04-08 01:18:14 UTC

KML-fil  |  Interaktivt kart

Kartet viser peilingene for meteoren. De lysere linjene viser retningene fra observasjonsstedene for meteorens tilsynekomst, og de mørkere linjene viser hvor den sist kunne sees. Den blå pila viser meteorens synlige ferd.

static map
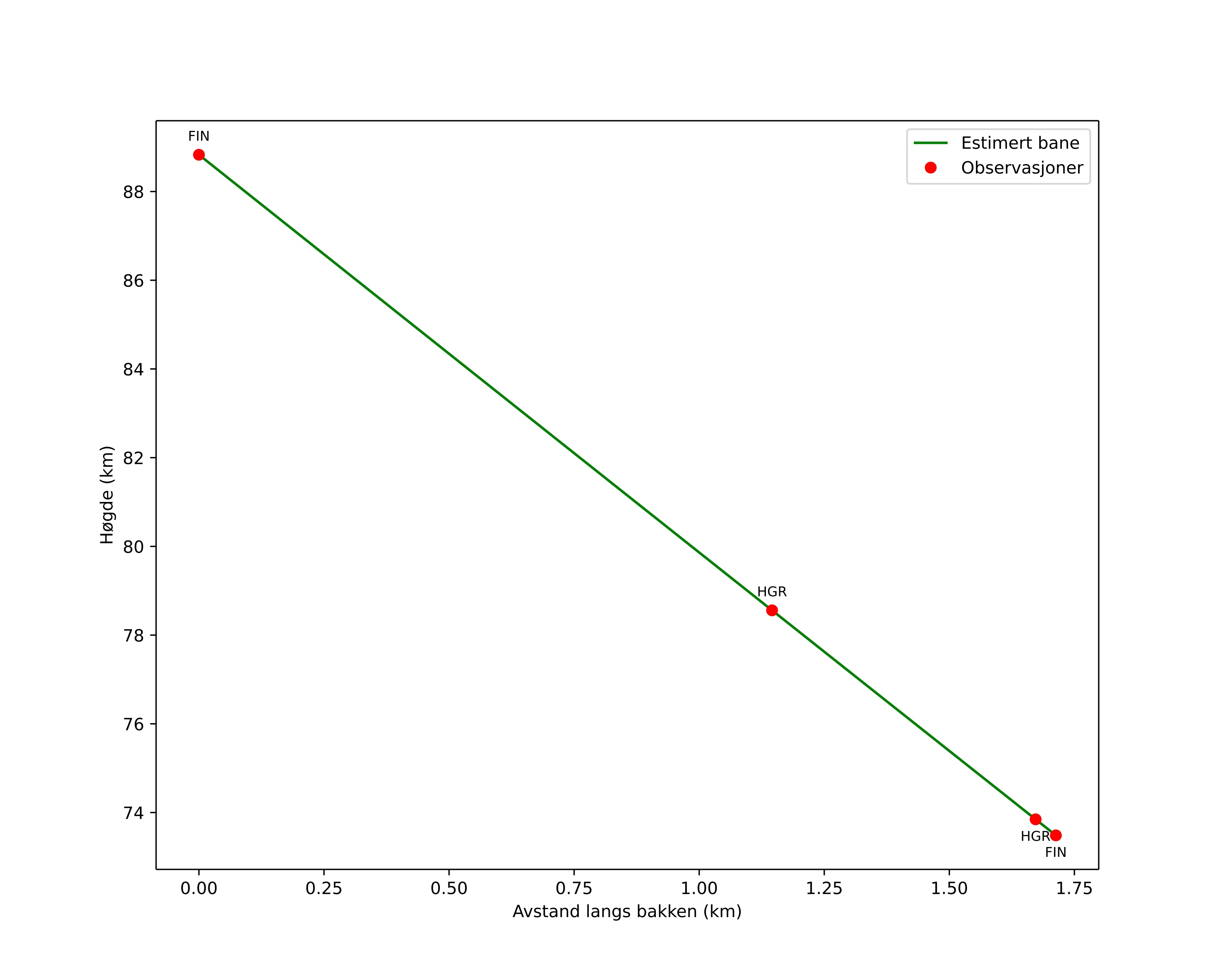
height profile
Meteorens atmosfæriske bane:
Starthøgde: 88,8 km
Slutthøgde: 73,5 km
Startposisjon: 61,181N 13,427E
Sluttposisjon: 61,195N 13,415E
Retning: 337,6°
Fallvinkel: 83,6°
Inngangshastighet: 21,4 km/s
Radiantens rektascensjon: 15:29 (232,4°)
Radiantens deklinasjon: 54,7°
Meteorsverm: sporadisk
Meteoroidens baneelement:
Perihelavstand: 0,948 AU
Eksentrisitet: 0,422
Inklinasjon: 29,6°
Knutelengde: 17,9°
Perihelargument: 214,7°
Midlere anomali: 346,7°
Epoke: 2026 APR 08 01:18:14
orbit plot

Ikke-interaktivt plott | Interaktivt plott

position vs time
speed and acceleration

Finnskogen (FIN) cam6


preview
Videoer
• Gnomonisk
• Gnomonisk med koordinater
• Original
• Original med koordinater
Bilder
• Gnomonisk
• Gnomonisk med koordinater
• Original
• Original med koordinater
Tekstfiler
• Deteksjon
• Observasjon
• Koordinater
• Logg
Lysstyrke

Hagar (HGR) cam3


preview
Videoer
• Gnomonisk
• Gnomonisk med koordinater
• Original
• Original med koordinater
Bilder
• Gnomonisk
• Gnomonisk med koordinater
• Original
• Original med koordinater
Tekstfiler
• Deteksjon
• Observasjon
• Koordinater
• Logg
Lysstyrke