🇳🇴 🇬🇧 🇩🇪 🇨🇿 🇫🇮

Meteor over Fillan 2026-04-08 01:37:42 UTC

KML-fil  |  Interaktivt kart

Kartet viser peilingene for meteoren. De lysere linjene viser retningene fra observasjonsstedene for meteorens tilsynekomst, og de mørkere linjene viser hvor den sist kunne sees. Den blå pila viser meteorens synlige ferd.

static map
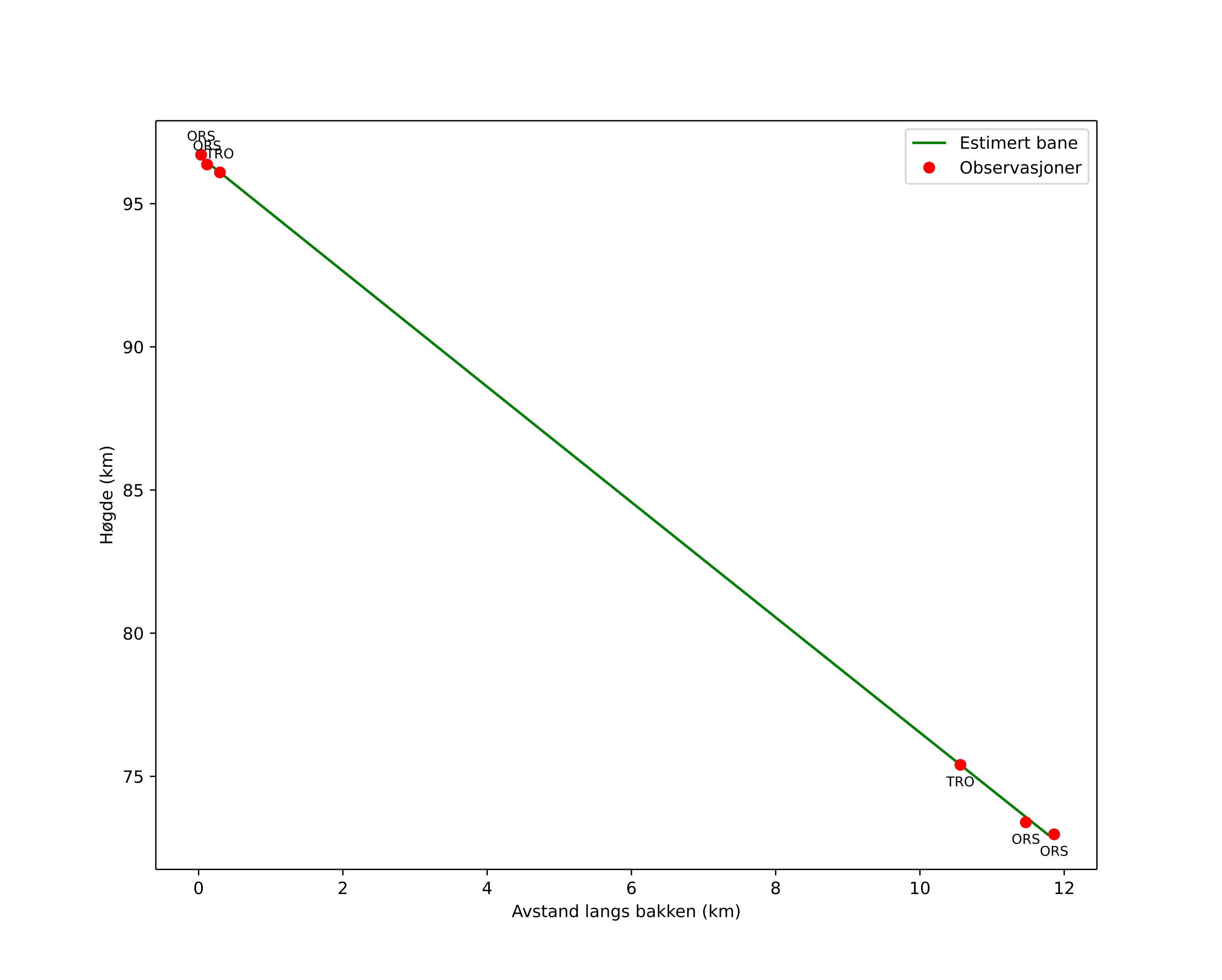
height profile
Meteorens atmosfæriske bane:
Starthøgde: 96,7 km
Slutthøgde: 72,9 km
Startposisjon: 63,650N 9,238E
Sluttposisjon: 63,699N 9,026E
Retning: 297,9°
Fallvinkel: 63,7°
Inngangshastighet: 43,8 km/s
Radiantens rektascensjon: 17:34 (263,6°)
Radiantens deklinasjon: 45,0°
Meteorsverm: sporadisk
Meteoroidens baneelement:
Perihelavstand: 0,973 AU
Eksentrisitet: 1,090
Inklinasjon: 67,7°
Knutelengde: 17,9°
Perihelargument: 199,0°
Midlere anomali: -0,4°
Epoke: 2026 APR 08 01:37:42
orbit plot

Ikke-interaktivt plott | Interaktivt plott

position vs time
speed and acceleration

Orsta (ORS) cam1


preview
Videoer
• Gnomonisk
• Gnomonisk med koordinater
• Original
• Original med koordinater
Bilder
• Gnomonisk
• Gnomonisk med koordinater
• Original
• Original med koordinater
Tekstfiler
• Deteksjon
• Observasjon
• Koordinater
• Logg
Lysstyrke

Orsta (ORS) cam5


preview
Videoer
• Gnomonisk
• Gnomonisk med koordinater
• Original
• Original med koordinater
Bilder
• Gnomonisk
• Gnomonisk med koordinater
• Original
• Original med koordinater
Tekstfiler
• Deteksjon
• Observasjon
• Koordinater
• Logg
Lysstyrke

Trondheim (TRO) cam7


preview
Videoer
• Gnomonisk
• Gnomonisk med koordinater
• Original
• Original med koordinater
Bilder
• Gnomonisk
• Gnomonisk med koordinater
• Original
• Original med koordinater
Tekstfiler
• Deteksjon
• Observasjon
• Koordinater
• Logg
Lysstyrke