🇳🇴 🇬🇧 🇩🇪 🇨🇿 🇫🇮

Meteor over Torsby 2026-04-10 00:45:22 UTC

KML-fil  |  Interaktivt kart

Kartet viser peilingene for meteoren. De lysere linjene viser retningene fra observasjonsstedene for meteorens tilsynekomst, og de mørkere linjene viser hvor den sist kunne sees. Den blå pila viser meteorens synlige ferd.

static map
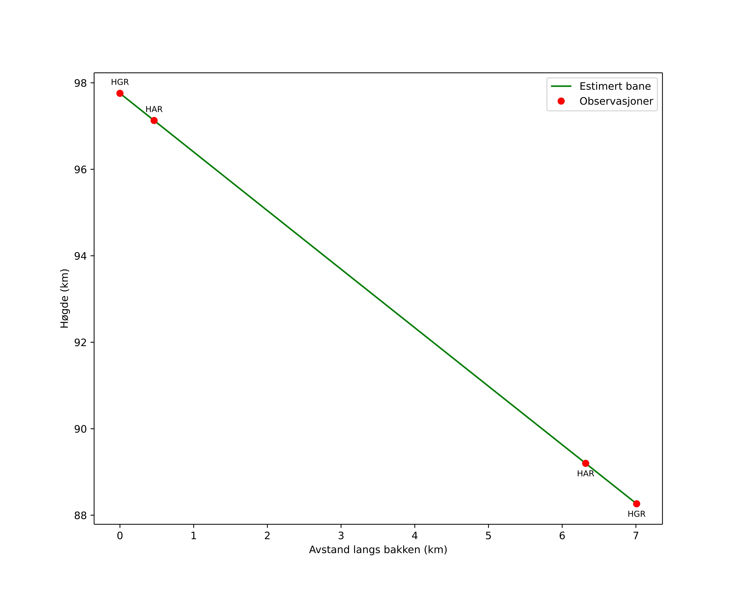
height profile
Meteorens atmosfæriske bane:
Starthøgde: 97,8 km
Slutthøgde: 88,3 km
Startposisjon: 59,981N 12,923E
Sluttposisjon: 60,043N 12,898E
Retning: 348,3°
Fallvinkel: 53,6°
Inngangshastighet: 46,8 km/s
Radiantens rektascensjon: 15:17 (229,4°)
Radiantens deklinasjon: 23,4°
Meteorsverm: sporadisk
Meteoroidens baneelement:
Perihelavstand: 0,582 AU
Eksentrisitet: 1,307
Inklinasjon: 57,9°
Knutelengde: 19,8°
Perihelargument: 254,9°
Midlere anomali: -12,5°
Epoke: 2026 APR 10 00:45:22
orbit plot

Ikke-interaktivt plott | Interaktivt plott

position vs time
speed and acceleration

Hagar (HGR) cam3


preview
Videoer
• Gnomonisk
• Gnomonisk med koordinater
• Original
• Original med koordinater
Bilder
• Gnomonisk
• Gnomonisk med koordinater
• Original
• Original med koordinater
Tekstfiler
• Deteksjon
• Observasjon
• Koordinater
• Logg
Lysstyrke

Harestua (HAR) cam3


preview
Videoer
• Gnomonisk
• Gnomonisk med koordinater
• Original
• Original med koordinater
Bilder
• Gnomonisk
• Gnomonisk med koordinater
• Original
• Original med koordinater
Tekstfiler
• Deteksjon
• Observasjon
• Koordinater
• Logg
Lysstyrke