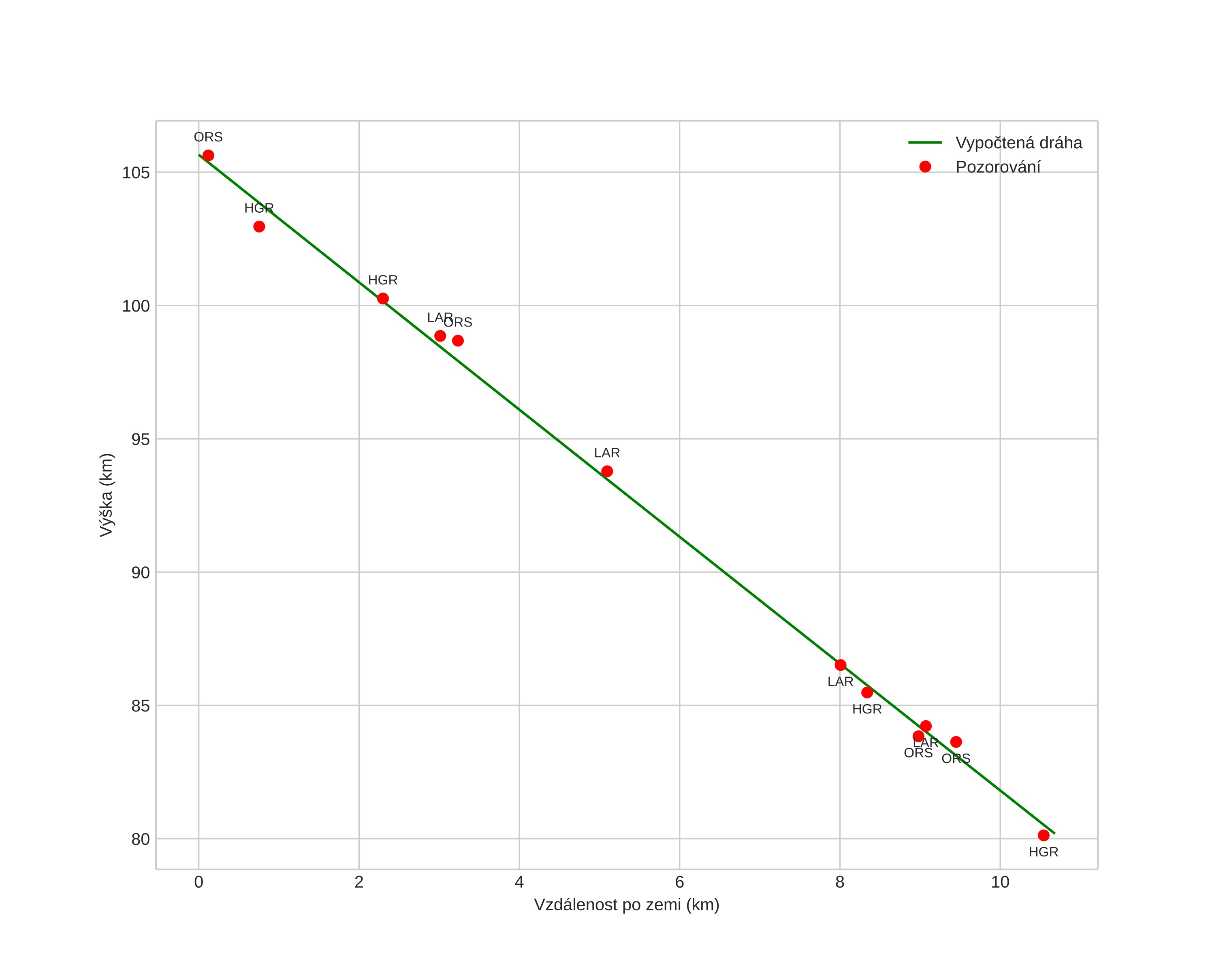
Atmosférická dráha meteoru:
| Počátečnà výška: | 105,7 km |
| Konečná výška: | 80,2 km |
| Počátečnà poloha: | 59,893N 6,804E |
| Konečná poloha: | 59,974N 6,703E |
| Směr: | 328,1° |
| Sklon: | 67,3° |
| VstupnĂ rychlost: | 51,5 km/s |
| Rektascenze radiantu: | 17:05 (256,4°) |
| Deklinace radiantu: | 39,0° |
| MeteorickĂ˝ roj: | Lyridy |
|
Elementy dráhy meteoroidu:
| Vzdálenost v periheliu: | 0,901 AU |
| Excentricita: | 1,693 |
| Sklon dráhy: | 72,4° |
| Délka vzestupného uzlu: | 26,7° |
| Argument perihelia: | 213,2° |
| Střednà anomálie: | -12,5° |
| Epocha: | 2026 APR 17 01:58:37 |
|