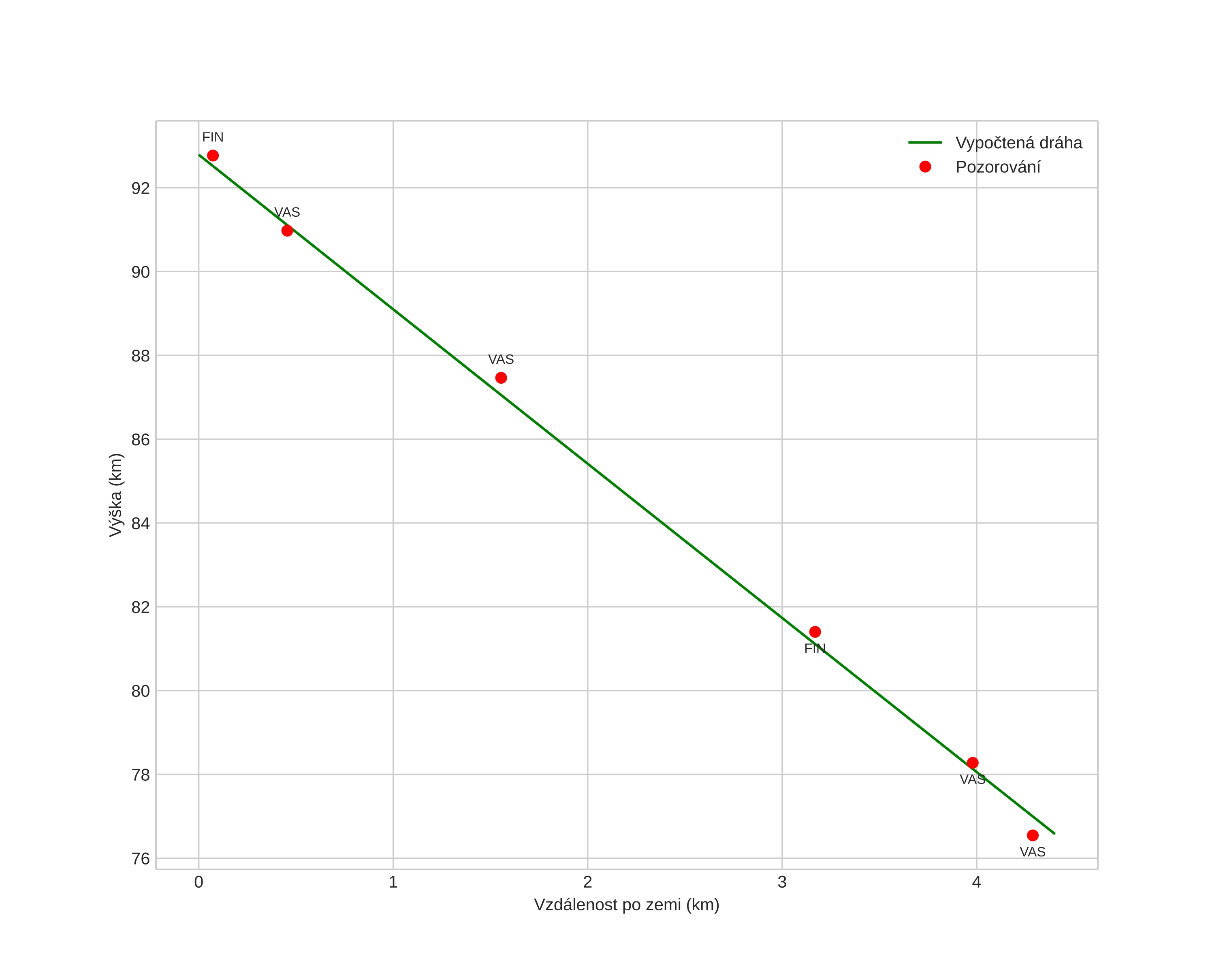
Atmosférická dráha meteoru:
| Počátečnà výška: | 92,8 km |
| Konečná výška: | 76,6 km |
| Počátečnà poloha: | 60,667N 14,451E |
| Konečná poloha: | 60,647N 14,382E |
| Směr: | 238,7° |
| Sklon: | 74,8° |
| VstupnĂ rychlost: | 33,7 km/s |
| Rektascenze radiantu: | 17:46 (266,5°) |
| Deklinace radiantu: | 65,3° |
| MeteorickĂ˝ roj: | sporadickĂ˝ |
|
Elementy dráhy meteoroidu:
| Vzdálenost v periheliu: | 1,004 AU |
| Excentricita: | 1,128 |
| Sklon dráhy: | 47,1° |
| Délka vzestupného uzlu: | 29,6° |
| Argument perihelia: | 181,4° |
| Střednà anomálie: | -0,0° |
| Epocha: | 2026 APR 20 00:46:32 |
|