🇳🇴 🇬🇧 🇩🇪 🇨🇿 🇫🇮

Meteor over Umba 2026-04-20 21:22:08 UTC

KML-fil  |  Interaktivt kart

Kartet viser peilingene for meteoren. De lysere linjene viser retningene fra observasjonsstedene for meteorens tilsynekomst, og de mørkere linjene viser hvor den sist kunne sees. Den blå pila viser meteorens synlige ferd.

static map
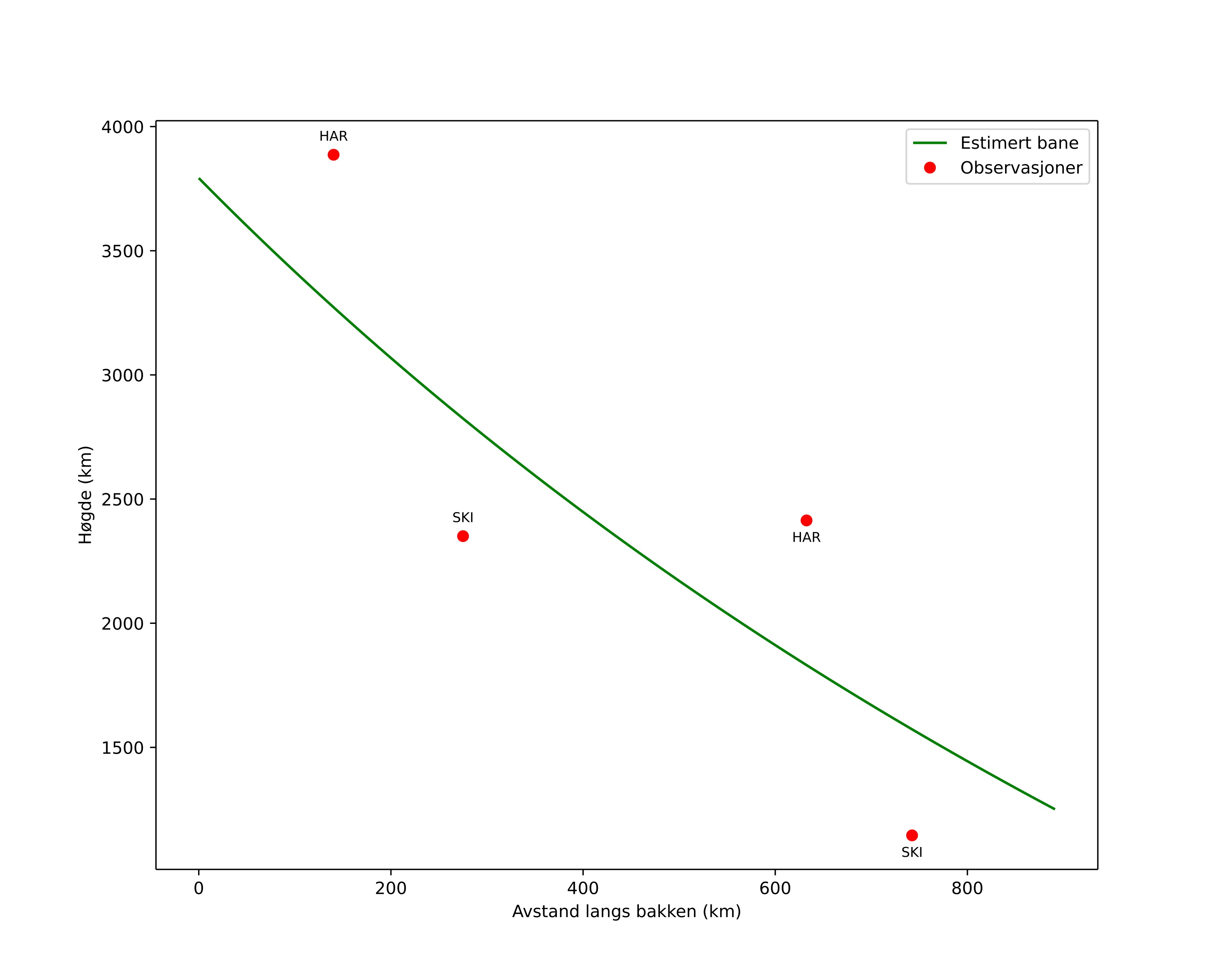
height profile
Meteorens atmosfæriske bane:
Starthøgde: 3792,5 km
Slutthøgde: 1250,5 km
Startposisjon: 63,800N 52,467E
Sluttposisjon: 66,388N 34,371E
Retning: 296,8°
Fallvinkel: 70,7°
Inngangshastighet: 3516,2 km/s
Radiantens rektascensjon: 16:39 (249,9°)
Radiantens deklinasjon: 51,3°
Meteorsverm: sporadisk
Meteoroidens baneelement:
Perihelavstand: 0,958 AU
Eksentrisitet: 13330,576
Inklinasjon: 94,8°
Knutelengde: 30,4°
Perihelargument: 197,5°
Midlere anomali: -241309,3°
Epoke: 2026 APR 20 21:22:08
orbit plot

Ikke-interaktivt plott | Interaktivt plott

position vs time
speed and acceleration

Harestua (HAR) cam2


preview
Videoer
• Gnomonisk
• Gnomonisk med koordinater
• Original
• Original med koordinater
Bilder
• Gnomonisk
• Gnomonisk med koordinater
• Original
• Original med koordinater
Tekstfiler
• Deteksjon
• Observasjon
• Koordinater
• Logg
Lysstyrke

Skibotn (SKI) cam2


preview
Videoer
• Gnomonisk
• Gnomonisk med koordinater
• Original
• Original med koordinater
Bilder
• Gnomonisk
• Gnomonisk med koordinater
• Original
• Original med koordinater
Tekstfiler
• Deteksjon
• Observasjon
• Koordinater
• Logg
Lysstyrke