🇳🇴 🇬🇧 🇩🇪 🇨🇿 🇫🇮

Meteor over Brekstad 2026-04-21 00:48:35 UTC

KML-fil  |  Interaktivt kart

Kartet viser peilingene for meteoren. De lysere linjene viser retningene fra observasjonsstedene for meteorens tilsynekomst, og de mørkere linjene viser hvor den sist kunne sees. Den blå pila viser meteorens synlige ferd.

static map
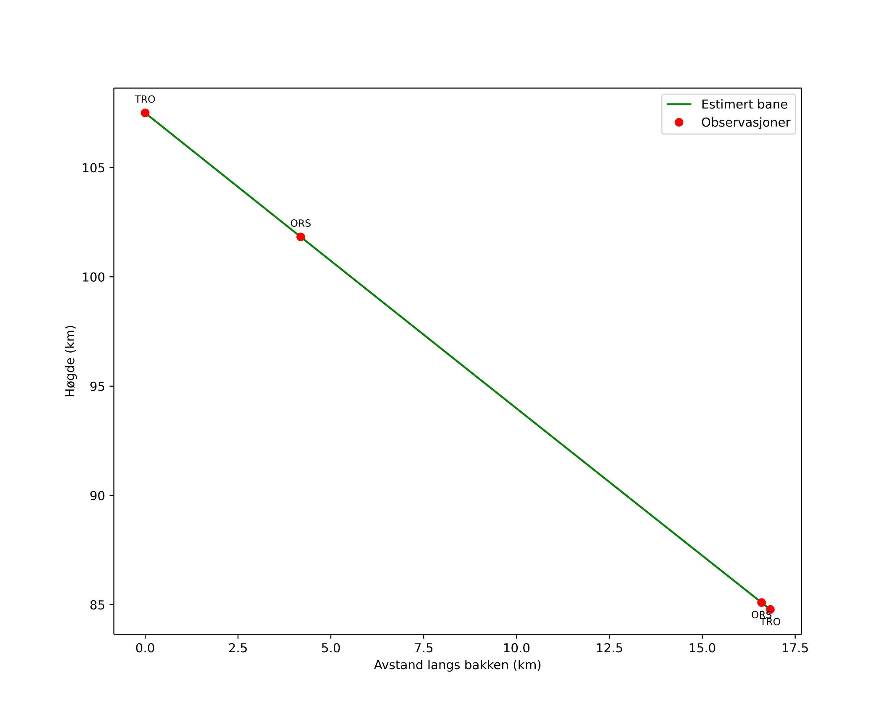
height profile
wind profile
Meteorens atmosfæriske bane:
Starthøgde: 107,5 km
Slutthøgde: 84,8 km
Startposisjon: 63,426N 10,005E
Sluttposisjon: 63,509N 9,722E
Retning: 303,2°
Fallvinkel: 53,4°
Inngangshastighet: 44,3 km/s
Radiantens rektascensjon: 17:53 (268,3°)
Radiantens deklinasjon: 34,4°
Meteorsverm: Lyridene
Meteoroidens baneelement:
Perihelavstand: 0,901 AU
Eksentrisitet: 0,799
Inklinasjon: 73,8°
Knutelengde: 30,6°
Perihelargument: 220,0°
Midlere anomali: 357,1°
Epoke: 2026 APR 21 00:48:35
orbit plot

Ikke-interaktivt plott | Interaktivt plott

position vs time
speed and acceleration

Orsta (ORS) cam1


preview
Videoer
• Gnomonisk
• Gnomonisk med koordinater
• Original
• Original med koordinater
Bilder
• Gnomonisk
• Gnomonisk med koordinater
• Original
• Original med koordinater
Tekstfiler
• Deteksjon
• Observasjon
• Koordinater
• Logg
Lysstyrke

Trondheim (TRO) cam7


preview
Videoer
• Gnomonisk
• Gnomonisk med koordinater
• Original
• Original med koordinater
Bilder
• Gnomonisk
• Gnomonisk med koordinater
• Original
• Original med koordinater
Tekstfiler
• Deteksjon
• Observasjon
• Koordinater
• Logg
Lysstyrke