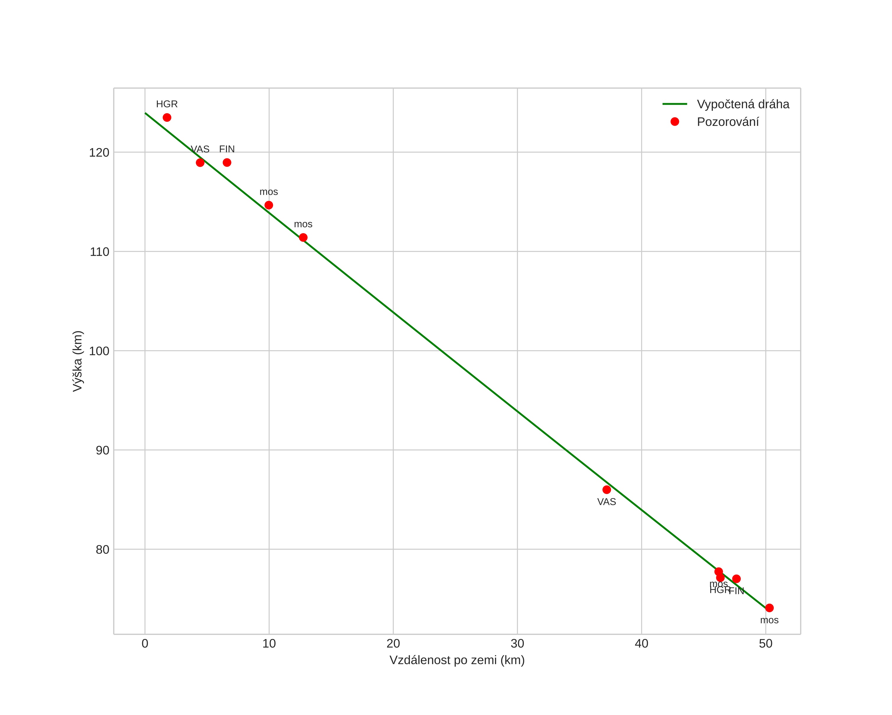
Atmosférická dráha meteoru:
| Počátečnà výška: | 124,0 km |
| Konečná výška: | 73,9 km |
| Počátečnà poloha: | 59,445N 17,513E |
| Konečná poloha: | 59,531N 16,641E |
| Směr: | 281,4° |
| Sklon: | 45,0° |
| VstupnĂ rychlost: | 47,2 km/s |
| Rektascenze radiantu: | 18:05 (271,4°) |
| Deklinace radiantu: | 32,0° |
| MeteorickĂ˝ roj: | Lyridy |
|
Elementy dráhy meteoroidu:
| Vzdálenost v periheliu: | 0,903 AU |
| Excentricita: | 0,850 |
| Sklon dráhy: | 79,4° |
| Délka vzestupného uzlu: | 31,5° |
| Argument perihelia: | 218,7° |
| Střednà anomálie: | 358,2° |
| Epocha: | 2026 APR 21 23:14:53 |
|