🇳🇴 🇬🇧 🇩🇪 🇨🇿 🇫🇮

Meteor over Tolga 2026-04-22 00:33:17 UTC

KML-fil  |  Interaktivt kart

Kartet viser peilingene for meteoren. De lysere linjene viser retningene fra observasjonsstedene for meteorens tilsynekomst, og de mørkere linjene viser hvor den sist kunne sees. Den blå pila viser meteorens synlige ferd.

static map
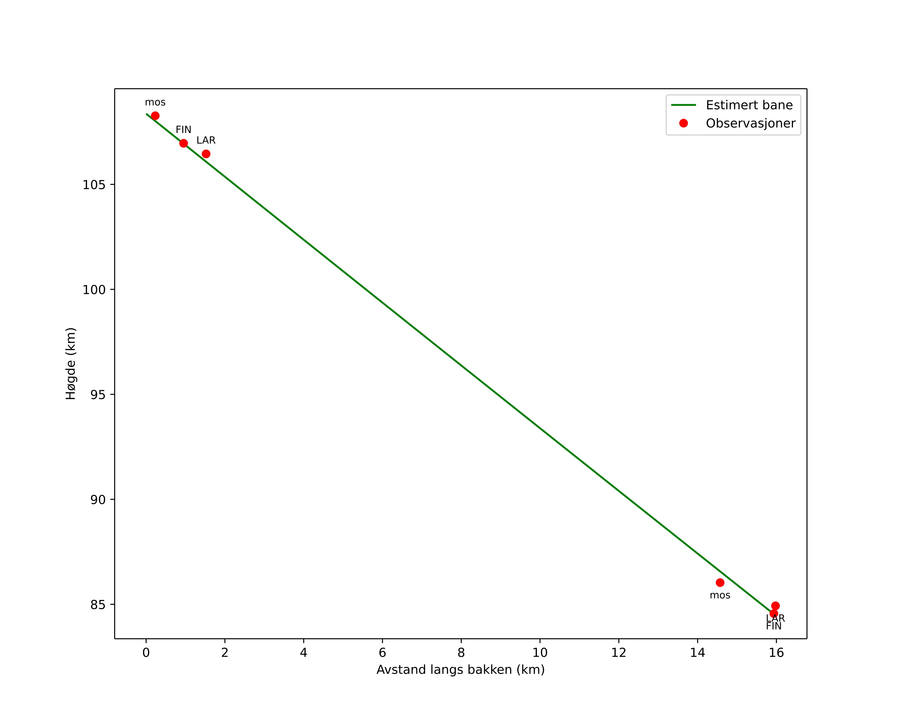
height profile
Meteorens atmosfæriske bane:
Starthøgde: 108,4 km
Slutthøgde: 84,6 km
Startposisjon: 62,686N 10,918E
Sluttposisjon: 62,791N 10,705E
Retning: 317,3°
Fallvinkel: 56,2°
Inngangshastighet: 47,8 km/s
Radiantens rektascensjon: 17:03 (255,8°)
Radiantens deklinasjon: 33,0°
Meteorsverm: sporadisk
Meteoroidens baneelement:
Perihelavstand: 0,822 AU
Eksentrisitet: 1,281
Inklinasjon: 70,3°
Knutelengde: 31,5°
Perihelargument: 227,5°
Midlere anomali: -5,4°
Epoke: 2026 APR 22 00:33:17
orbit plot

Ikke-interaktivt plott | Interaktivt plott

position vs time
speed and acceleration

Finnskogen (FIN) cam1


preview
Videoer
• Gnomonisk
• Gnomonisk med koordinater
• Original
• Original med koordinater
Bilder
• Gnomonisk
• Gnomonisk med koordinater
• Original
• Original med koordinater
Tekstfiler
• Deteksjon
• Observasjon
• Koordinater
• Logg
Lysstyrke

Larvik (LAR) cam1


preview
Videoer
• Gnomonisk
• Gnomonisk med koordinater
• Original
• Original med koordinater
Bilder
• Gnomonisk
• Gnomonisk med koordinater
• Original
• Original med koordinater
Tekstfiler
• Deteksjon
• Observasjon
• Koordinater
• Logg
Lysstyrke

Moss (mos) cam1


preview
Videoer
• Gnomonisk
• Gnomonisk med koordinater
• Original
• Original med koordinater
Bilder
• Gnomonisk
• Gnomonisk med koordinater
• Original
• Original med koordinater
Tekstfiler
• Deteksjon
• Observasjon
• Koordinater
• Logg
Lysstyrke