🇳🇴 🇬🇧 🇩🇪 🇨🇿 🇫🇮

Meteor over Rättvik 2026-04-22 00:58:14 UTC

KML-fil  |  Interaktivt kart

Kartet viser peilingene for meteoren. De lysere linjene viser retningene fra observasjonsstedene for meteorens tilsynekomst, og de mørkere linjene viser hvor den sist kunne sees. Den blå pila viser meteorens synlige ferd.

static map
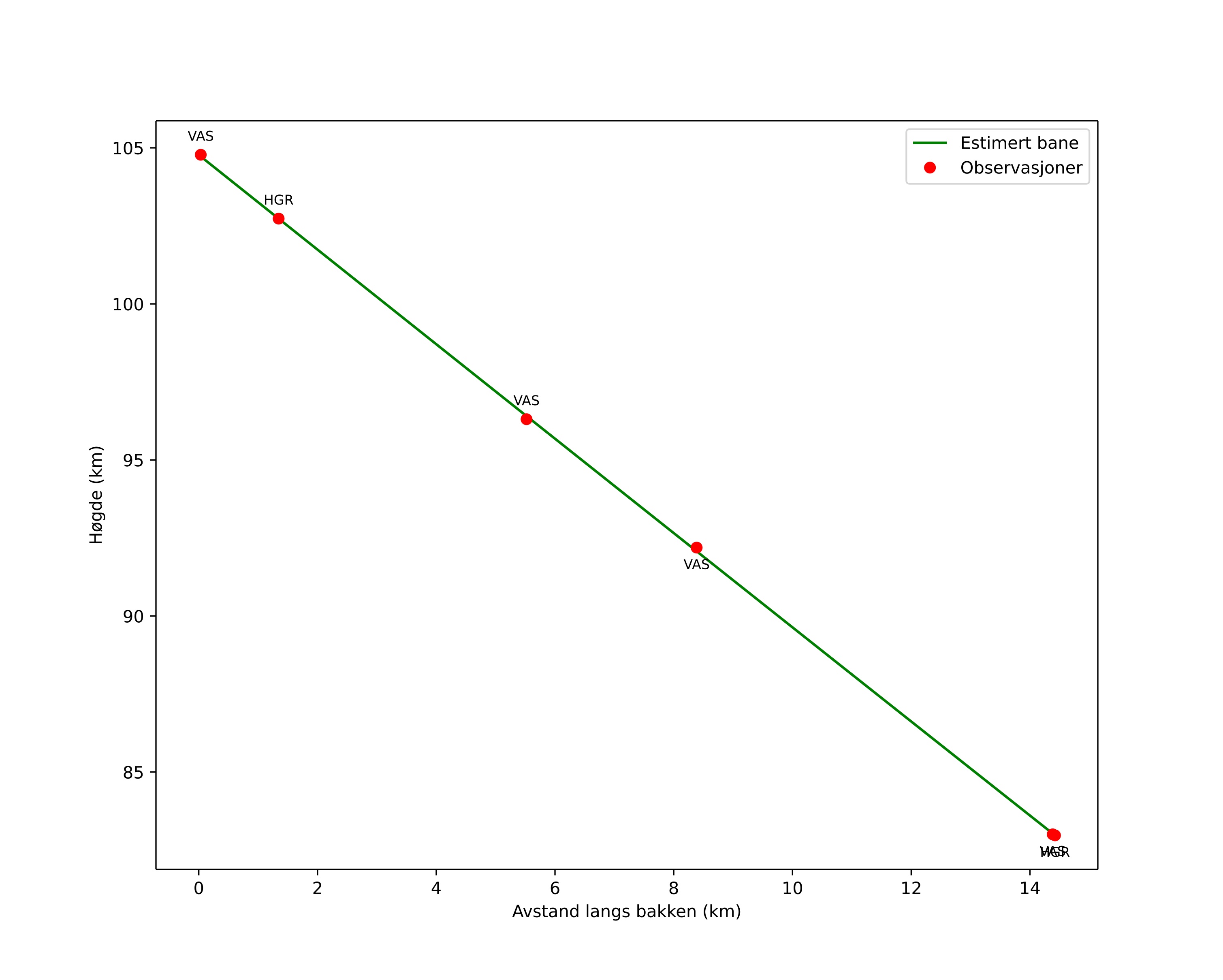
height profile
Meteorens atmosfæriske bane:
Starthøgde: 104,8 km
Slutthøgde: 83,0 km
Startposisjon: 60,747N 15,271E
Sluttposisjon: 60,830N 15,066E
Retning: 309,8°
Fallvinkel: 56,5°
Inngangshastighet: 48,4 km/s
Radiantens rektascensjon: 18:00 (270,2°)
Radiantens deklinasjon: 33,3°
Meteorsverm: Lyridene
Meteoroidens baneelement:
Perihelavstand: 0,910 AU
Eksentrisitet: 1,005
Inklinasjon: 79,1°
Knutelengde: 31,6°
Perihelargument: 215,8°
Midlere anomali: -0,0°
Epoke: 2026 APR 22 00:58:14
orbit plot

Ikke-interaktivt plott | Interaktivt plott

position vs time
speed and acceleration

Hagar (HGR) cam3


preview
Videoer
• Gnomonisk
• Gnomonisk med koordinater
• Original
• Original med koordinater
Bilder
• Gnomonisk
• Gnomonisk med koordinater
• Original
• Original med koordinater
Tekstfiler
• Deteksjon
• Observasjon
• Koordinater
• Logg
Lysstyrke

Vasteras (VAS) cam1


preview
Videoer
• Gnomonisk
• Gnomonisk med koordinater
• Original
• Original med koordinater
Bilder
• Gnomonisk
• Gnomonisk med koordinater
• Original
• Original med koordinater
Tekstfiler
• Deteksjon
• Observasjon
• Koordinater
• Logg
Lysstyrke

Vasteras (VAS) cam5


preview
Videoer
• Gnomonisk
• Gnomonisk med koordinater
• Original
• Original med koordinater
Bilder
• Gnomonisk
• Gnomonisk med koordinater
• Original
• Original med koordinater
Tekstfiler
• Deteksjon
• Observasjon
• Koordinater
• Logg
Lysstyrke