🇳🇴 🇬🇧 🇩🇪 🇨🇿 🇫🇮

Meteor over Koppang 2026-04-22 23:08:29 UTC

KML-fil  |  Interaktivt kart

Kartet viser peilingene for meteoren. De lysere linjene viser retningene fra observasjonsstedene for meteorens tilsynekomst, og de mørkere linjene viser hvor den sist kunne sees. Den blå pila viser meteorens synlige ferd.

static map
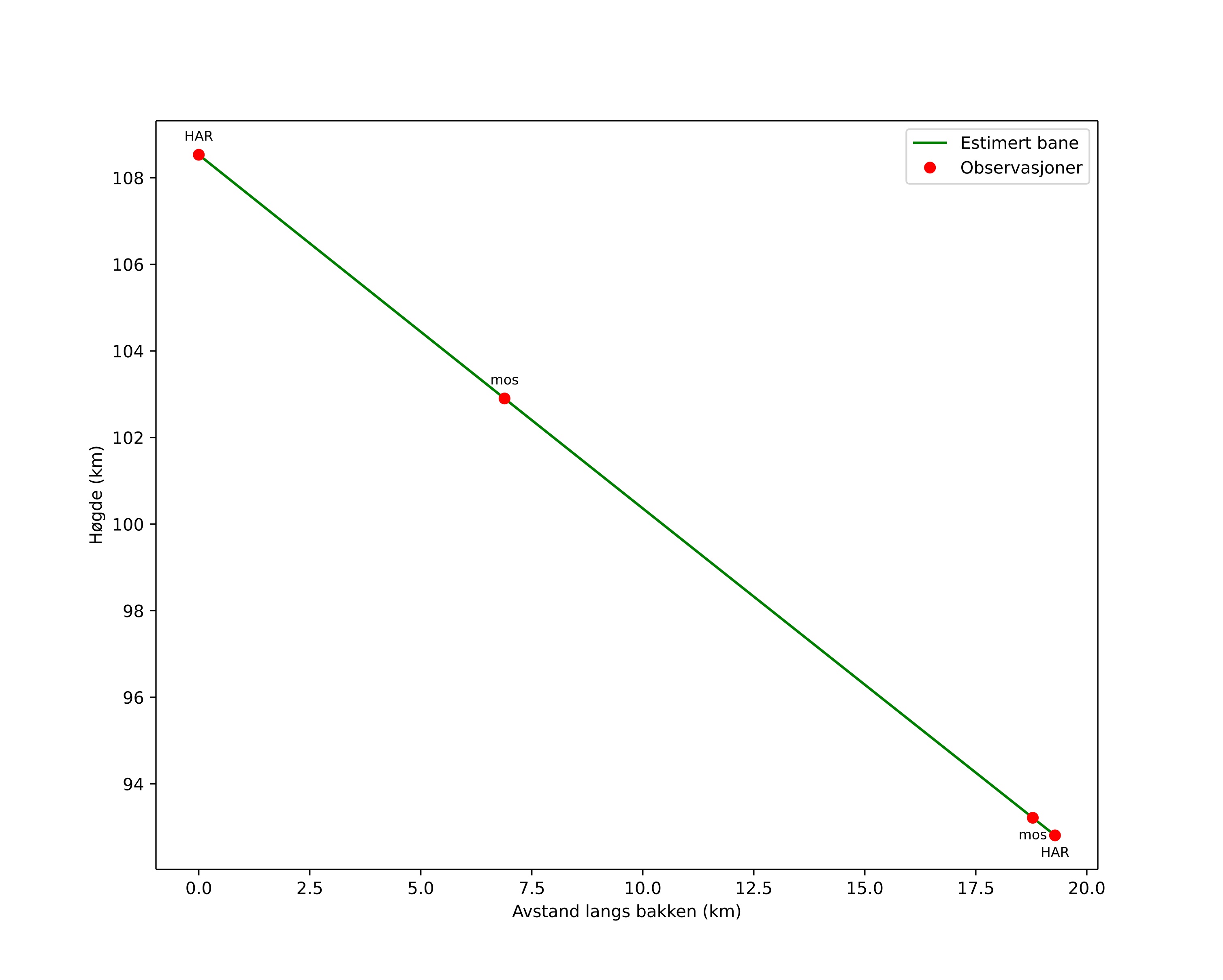
height profile
wind profile
Meteorens atmosfæriske bane:
Starthøgde: 108,5 km
Slutthøgde: 92,8 km
Startposisjon: 61,427N 11,297E
Sluttposisjon: 61,464N 10,943E
Retning: 282,5°
Fallvinkel: 39,2°
Inngangshastighet: 52,8 km/s
Radiantens rektascensjon: 17:54 (268,5°)
Radiantens deklinasjon: 27,8°
Meteorsverm: Lyridene
Meteoroidens baneelement:
Perihelavstand: 0,852 AU
Eksentrisitet: 1,168
Inklinasjon: 85,6°
Knutelengde: 32,5°
Perihelargument: 224,1°
Midlere anomali: -2,3°
Epoke: 2026 APR 22 23:08:29
orbit plot

Ikke-interaktivt plott | Interaktivt plott

position vs time
speed and acceleration

Harestua (HAR) cam1


preview
Videoer
• Gnomonisk
• Gnomonisk med koordinater
• Original
• Original med koordinater
Bilder
• Gnomonisk
• Gnomonisk med koordinater
• Original
• Original med koordinater
Tekstfiler
• Deteksjon
• Observasjon
• Koordinater
• Logg
Lysstyrke

Moss (mos) cam1


preview
Videoer
• Gnomonisk
• Gnomonisk med koordinater
• Original
• Original med koordinater
Bilder
• Gnomonisk
• Gnomonisk med koordinater
• Original
• Original med koordinater
Tekstfiler
• Deteksjon
• Observasjon
• Koordinater
• Logg
Lysstyrke