🇳🇴 🇬🇧 🇩🇪 🇨🇿 🇫🇮

Meteor over Brastad 2026-04-23 00:28:16 UTC

KML-fil  |  Interaktivt kart

Kartet viser peilingene for meteoren. De lysere linjene viser retningene fra observasjonsstedene for meteorens tilsynekomst, og de mørkere linjene viser hvor den sist kunne sees. Den blå pila viser meteorens synlige ferd.

static map
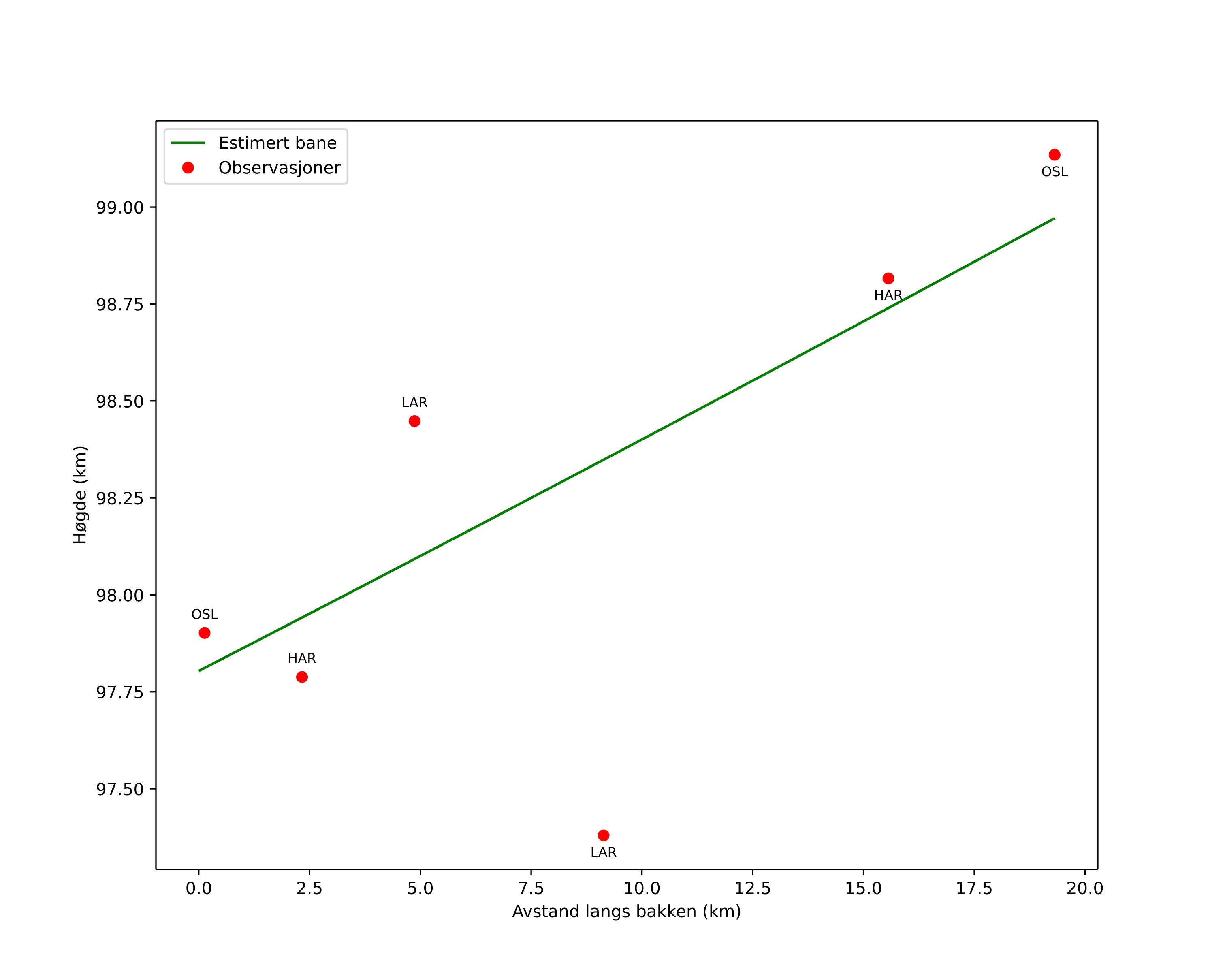
height profile
wind profile
Meteorens atmosfæriske bane:
Starthøgde: 97,8 km
Slutthøgde: 99,0 km
Startposisjon: 58,629N 11,539E
Sluttposisjon: 58,456N 11,499E
Retning: 186,8°
Fallvinkel: -3,6°
Inngangshastighet: 36,4 km/s
Radiantens rektascensjon: 02:48 (42,2°)
Radiantens deklinasjon: 24,5°
Meteorsverm: sporadisk
Meteoroidens baneelement:
Perihelavstand: 0,646 AU
Eksentrisitet: 1,626
Inklinasjon: 7,1°
Knutelengde: 32,5°
Perihelargument: 115,0°
Midlere anomali: 27,3°
Epoke: 2026 APR 23 00:28:16
orbit plot

Ikke-interaktivt plott | Interaktivt plott

position vs time
speed and acceleration

Harestua (HAR) cam3


preview
Videoer
• Gnomonisk
• Gnomonisk med koordinater
• Original
• Original med koordinater
Bilder
• Gnomonisk
• Gnomonisk med koordinater
• Original
• Original med koordinater
Tekstfiler
• Deteksjon
• Observasjon
• Koordinater
• Logg
Lysstyrke

Larvik (LAR) cam7


preview
Videoer
• Gnomonisk
• Gnomonisk med koordinater
• Original
• Original med koordinater
Bilder
• Gnomonisk
• Gnomonisk med koordinater
• Original
• Original med koordinater
Tekstfiler
• Deteksjon
• Observasjon
• Koordinater
• Logg
Lysstyrke

Voksenlia (OSL) cam4


preview
Videoer
• Gnomonisk
• Gnomonisk med koordinater
• Original
• Original med koordinater
Bilder
• Gnomonisk
• Gnomonisk med koordinater
• Original
• Original med koordinater
Tekstfiler
• Deteksjon
• Observasjon
• Koordinater
• Logg
Lysstyrke