🇳🇴 🇬🇧 🇩🇪 🇨🇿 🇫🇮

Meteor over Reinsvoll 2026-04-23 00:43:06 UTC

KML-fil  |  Interaktivt kart

Kartet viser peilingene for meteoren. De lysere linjene viser retningene fra observasjonsstedene for meteorens tilsynekomst, og de mørkere linjene viser hvor den sist kunne sees. Den blå pila viser meteorens synlige ferd.

static map
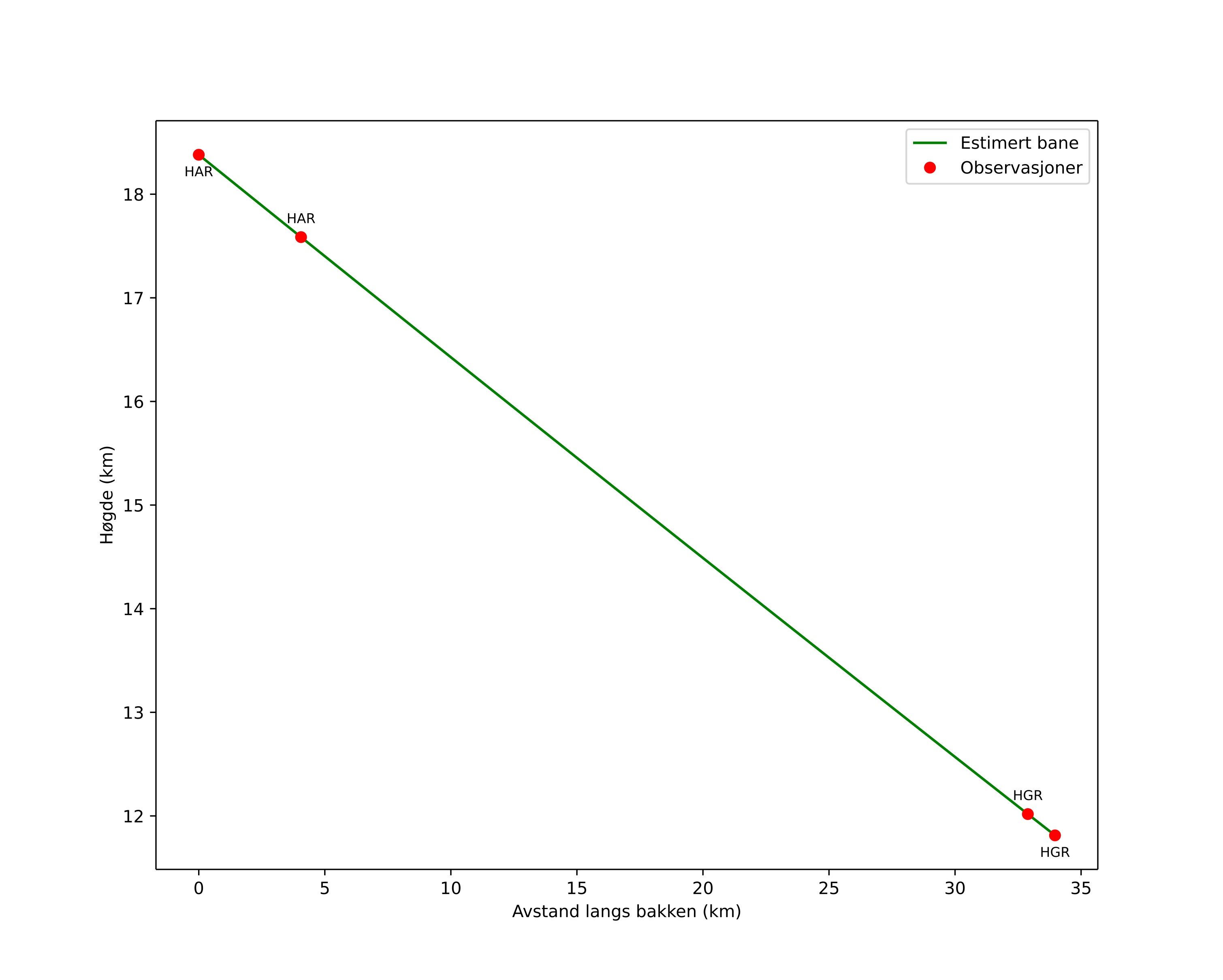
height profile
wind profile
Meteorens atmosfæriske bane:
Starthøgde: 18,4 km
Slutthøgde: 11,8 km
Startposisjon: 60,634N 11,129E
Sluttposisjon: 60,594N 10,512E
Retning: 262,7°
Fallvinkel: 11,0°
Inngangshastighet: 16,8 km/s
Radiantens rektascensjon: 22:01 (330,5°)
Radiantens deklinasjon: 0,8°
Meteorsverm: sporadisk
Meteoroidens baneelement:
Perihelavstand: 0,273 AU
Eksentrisitet: 0,587
Inklinasjon: 7,5°
Knutelengde: 32,5°
Perihelargument: 14,1°
Midlere anomali: 137,3°
Epoke: 2026 APR 23 00:43:06
orbit plot

Ikke-interaktivt plott | Interaktivt plott

position vs time
speed and acceleration

Hagar (HGR) cam6


preview
Videoer
• Gnomonisk
• Gnomonisk med koordinater
• Original
• Original med koordinater
Bilder
• Gnomonisk
• Gnomonisk med koordinater
• Original
• Original med koordinater
Tekstfiler
• Deteksjon
• Observasjon
• Koordinater
• Logg
Lysstyrke

Harestua (HAR) cam6


preview
Videoer
• Gnomonisk
• Gnomonisk med koordinater
• Original
• Original med koordinater
Bilder
• Gnomonisk
• Gnomonisk med koordinater
• Original
• Original med koordinater
Tekstfiler
• Deteksjon
• Observasjon
• Koordinater
• Logg
Lysstyrke