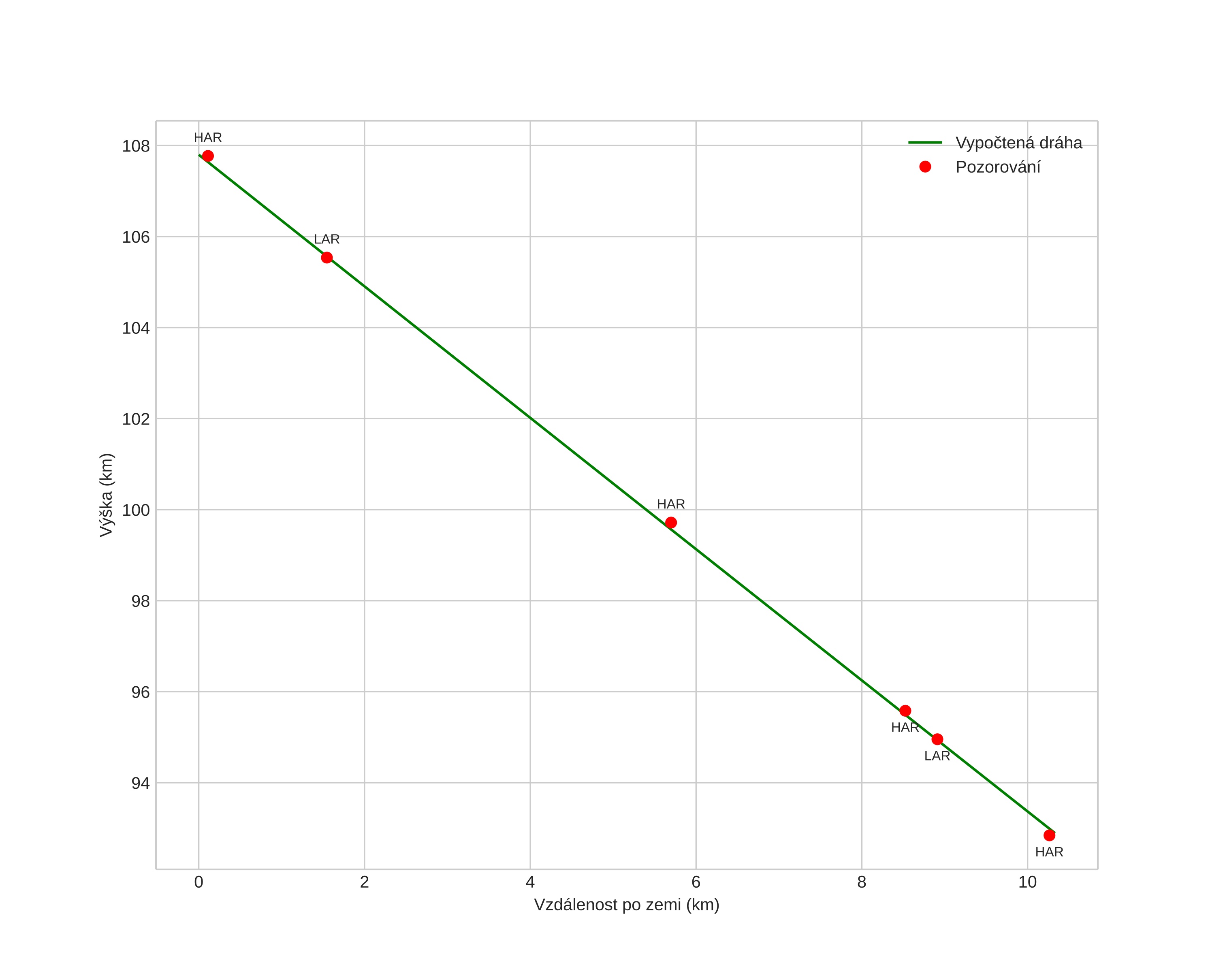
Atmosférická dráha meteoru:
| Počátečnà výška: | 107,8 km |
| Konečná výška: | 92,9 km |
| Počátečnà poloha: | 59,571N 12,413E |
| Konečná poloha: | 59,619N 12,257E |
| Směr: | 301,5° |
| Sklon: | 55,3° |
| VstupnĂ rychlost: | 73,0 km/s |
| Rektascenze radiantu: | 18:11 (272,8°) |
| Deklinace radiantu: | 33,7° |
| MeteorickĂ˝ roj: | sporadickĂ˝ |
|
Elementy dráhy meteoroidu:
| Vzdálenost v periheliu: | 0,952 AU |
| Excentricita: | 3,406 |
| Sklon dráhy: | 94,6° |
| Délka vzestupného uzlu: | 32,5° |
| Argument perihelia: | 201,4° |
| Střednà anomálie: | -39,5° |
| Epocha: | 2026 APR 23 00:55:31 |
|