🇳🇴 🇬🇧 🇩🇪 🇨🇿 🇫🇮

Meteor over Flateby 2026-04-23 23:47:59 UTC

Finnskogen – 4
Finnskogen – 4
Hågår – 4
Hågår – 4
Hågår – 6
Hågår – 6
Harestua – 7
Harestua – 7
Larvik – 2
Larvik – 2
Voksenlia – 6
Voksenlia – 6

KML file  | Interactive map

map

The map shows the bearings for the meteor. The lighter lines show the directions from the observation sites at the meteor's appearance, and the darker lines show where it was last seen. The blue arrow indicates the visible path of the meteor.

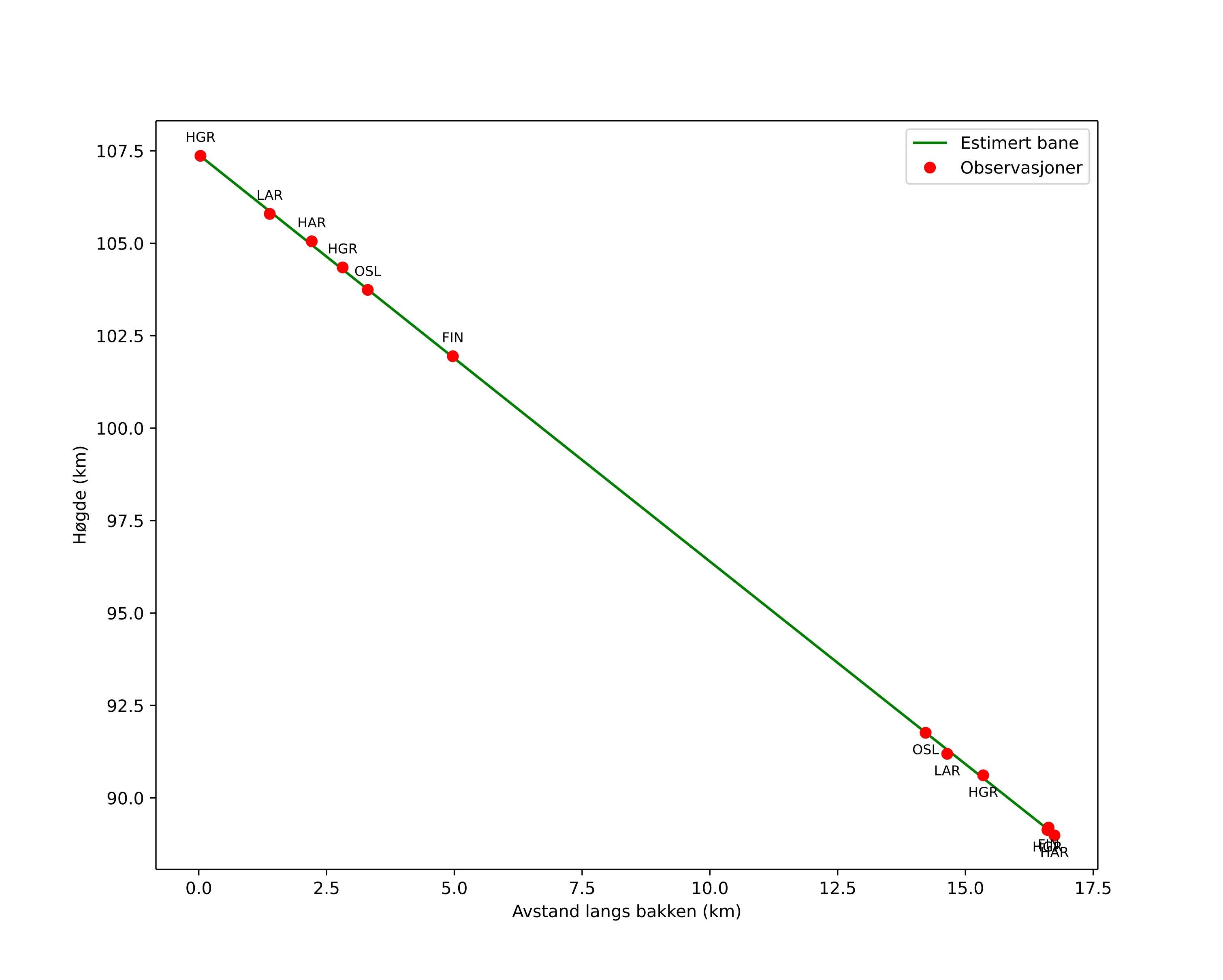
height profile
Meteor's Atmospheric Trajectory:
Start height: 106.2 km
End height: 88.6 km
Start position: 59.830N 11.551E
End position: 59.865N 11.271E
Direction: 283.9°
Inclination angle: 47.5°
Entry speed: 53.6 km/s
Radiant R.A.: 18:09 (272.4°)
Radiant Dec.: 33.4°
Meteor Shower: Lyrids
Meteoroid's Orbital Elements:
Perihelion distance: 0.928 AU
Eccentricity: 1.377
Inclination: 83.7°
Long. of Asc. Node: 33.5°
Argument of Perihelion: 209.9°
Mean Anomaly: -4.8°
Epoch: 2026 APR 23 23:47:59
orbit

Non-interactive plot | Interactive plot

position vs time
speed & acceleration