🇳🇴 🇬🇧 🇩🇪 🇨🇿 🇫🇮

Meteor over Västerås 2026-04-24 00:43:26 UTC

Finnskogen – 3
Finnskogen – 3
Finnskogen – 7
Finnskogen – 7
Hågår – 4
Hågår – 4
Harestua – 2
Harestua – 2
Västerås – 3
Västerås – 3
Västerås – 7
Västerås – 7

KML file  | Interactive map

map

The map shows the bearings for the meteor. The lighter lines show the directions from the observation sites at the meteor's appearance, and the darker lines show where it was last seen. The blue arrow indicates the visible path of the meteor.

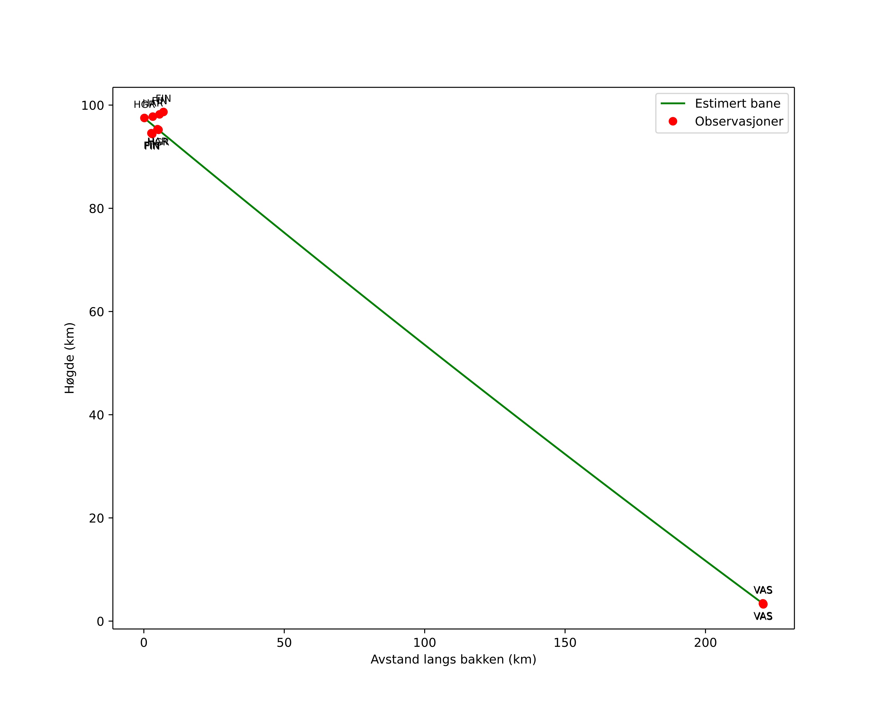
height profile
wind profile
Meteor's Atmospheric Trajectory:
Start height: 97.4 km
End height: 9.4 km
Start position: 60.133N 12.699E
End position: 59.594N 16.595E
Direction: 103.7°
Inclination angle: 21.3°
orbit

Non-interactive plot | Interactive plot

position vs time
speed & acceleration