🇳🇴 🇬🇧 🇩🇪 🇨🇿 🇫🇮

Meteor over Orsa 2026-04-24 00:57:42 UTC

KML-fil  |  Interaktivt kart

Kartet viser peilingene for meteoren. De lysere linjene viser retningene fra observasjonsstedene for meteorens tilsynekomst, og de mørkere linjene viser hvor den sist kunne sees. Den blå pila viser meteorens synlige ferd.

static map
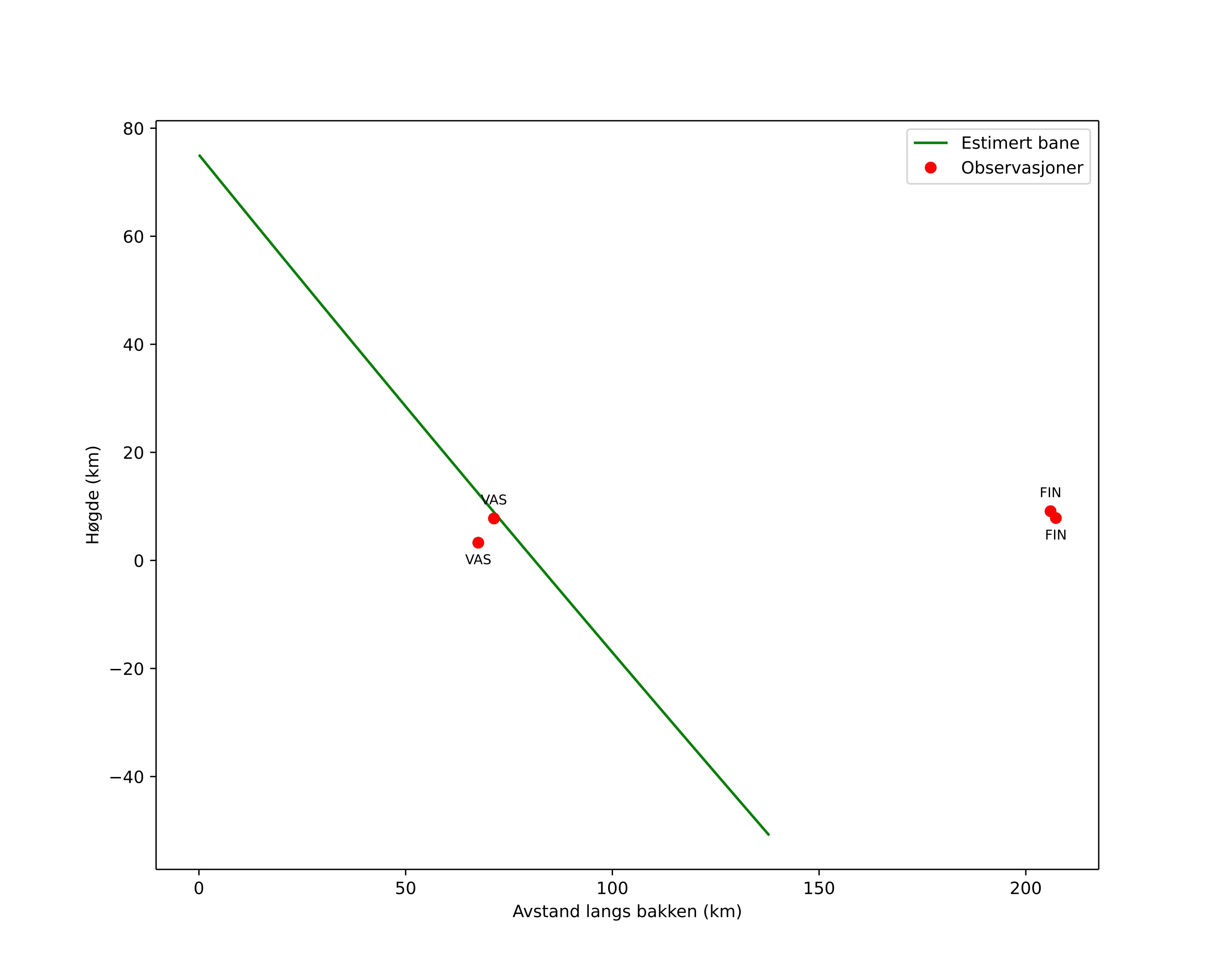
height profile
Meteorens atmosfæriske bane:
Starthøgde: 75,1 km
Slutthøgde: -50,9 km
Startposisjon: 59,976N 15,491E
Sluttposisjon: 61,132N 14,571E
Retning: 339,0°
Fallvinkel: 42,4°
Inngangshastighet: 27,5 km/s
Radiantens rektascensjon: 17:09 (257,3°)
Radiantens deklinasjon: 11,6°
Meteorsverm: sporadisk
Meteoroidens baneelement:
Perihelavstand: 0,322 AU
Eksentrisitet: 0,607
Inklinasjon: 41,6°
Knutelengde: 33,5°
Perihelargument: 323,1°
Midlere anomali: 280,2°
Epoke: 2026 APR 24 00:57:42
orbit plot

Ikke-interaktivt plott | Interaktivt plott

position vs time
speed and acceleration

Finnskogen (FIN) cam1


preview
Videoer
• Gnomonisk
• Gnomonisk med koordinater
• Original
• Original med koordinater
Bilder
• Gnomonisk
• Gnomonisk med koordinater
• Original
• Original med koordinater
Tekstfiler
• Deteksjon
• Observasjon
• Koordinater
• Logg
Lysstyrke

Vasteras (VAS) cam4


preview
Videoer
• Gnomonisk
• Gnomonisk med koordinater
• Original
• Original med koordinater
Bilder
• Gnomonisk
• Gnomonisk med koordinater
• Original
• Original med koordinater
Tekstfiler
• Deteksjon
• Observasjon
• Koordinater
• Logg
Lysstyrke