🇳🇴 🇬🇧 🇩🇪 🇨🇿 🇫🇮

Meteor over Älvdalen 2026-04-24 22:55:41 UTC

Finnskogen – 1
Finnskogen – 1
Finnskogen – 2
Finnskogen – 2
Finnskogen – 6
Finnskogen – 6
Hågår – 3
Hågår – 3

KML file  | Interactive map

map

The map shows the bearings for the meteor. The lighter lines show the directions from the observation sites at the meteor's appearance, and the darker lines show where it was last seen. The blue arrow indicates the visible path of the meteor.

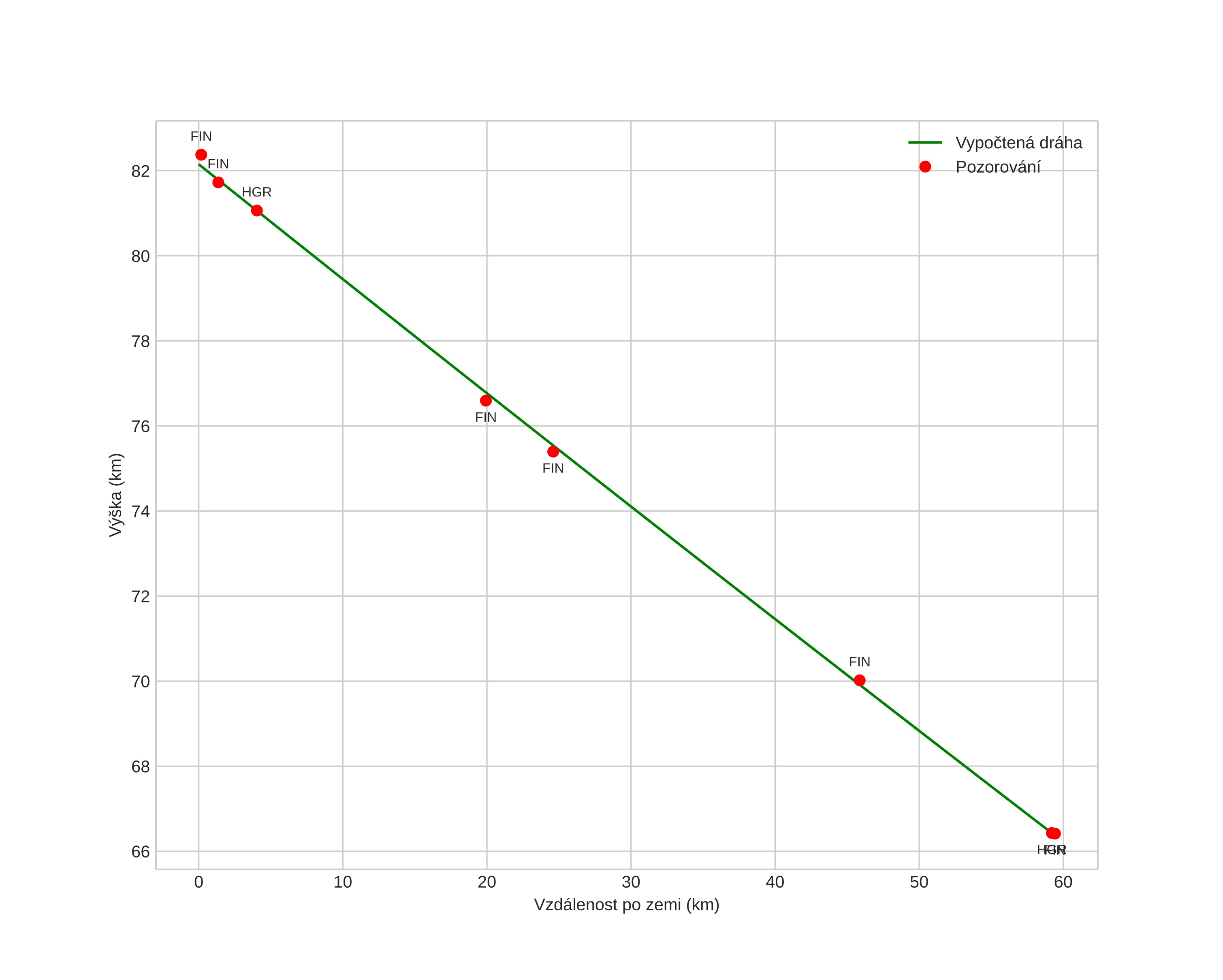
height profile
Meteor's Atmospheric Trajectory:
Start height: 82.8 km
End height: 66.4 km
Start position: 62.297N 13.319E
End position: 61.749N 13.607E
Direction: 166.0°
Inclination angle: 14.7°
Entry speed: 20.1 km/s
Radiant R.A.: 03:08 (47.2°)
Radiant Dec.: 33.2°
Meteor Shower: sporadic
Meteoroid's Orbital Elements:
Perihelion distance: 0.810 AU
Eccentricity: 0.755
Inclination: 7.1°
Long. of Asc. Node: 34.4°
Argument of Perihelion: 123.2°
Mean Anomaly: 6.1°
Epoch: 2026 APR 24 22:55:41
orbit

Non-interactive plot | Interactive plot

position vs time
speed & acceleration