๐Ÿ‡ณ๐Ÿ‡ด ๐Ÿ‡ฌ๐Ÿ‡ง ๐Ÿ‡ฉ๐Ÿ‡ช ๐Ÿ‡จ๐Ÿ‡ฟ ๐Ÿ‡ซ๐Ÿ‡ฎ

Meteor over Sandefjord 2026-04-24 23:13:08 UTC

Larvik โ€“ 6
Larvik โ€“ 6
Larvik โ€“ 7
Larvik โ€“ 7
Moss โ€“ 7
Moss โ€“ 7

KML file  | Interactive map

map

The map shows the bearings for the meteor. The lighter lines show the directions from the observation sites at the meteor's appearance, and the darker lines show where it was last seen. The blue arrow indicates the visible path of the meteor.

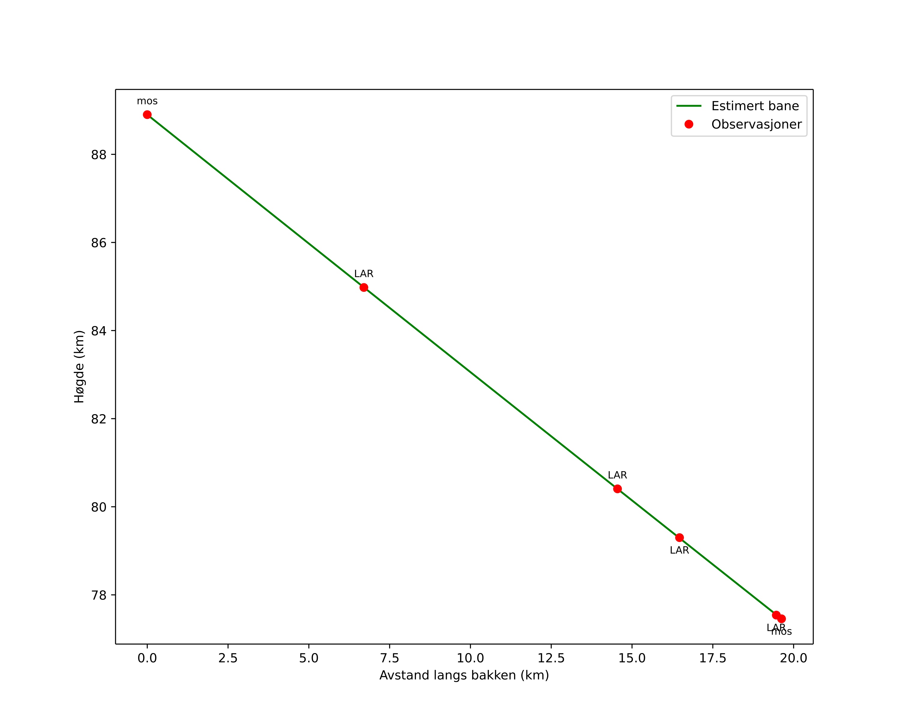
height profile
Meteor's Atmospheric Trajectory:
Start height: 93.2 km
End height: 77.0 km
Start position: 58.935N 10.091E
End position: 59.146N 10.150E
Direction: 8.2ยฐ
Inclination angle: 34.4ยฐ
Entry speed: 24.1 km/s
Radiant R.A.: 13:33 (203.3ยฐ)
Radiant Dec.: 0.1ยฐ
Meteor Shower: sporadic
Meteoroid's Orbital Elements:
Perihelion distance: 0.729 AU
Eccentricity: 0.862
Inclination: 5.6ยฐ
Long. of Asc. Node: 34.4ยฐ
Argument of Perihelion: 246.1ยฐ
Mean Anomaly: 356.9ยฐ
Epoch: 2026 APR 24 23:13:08
orbit

Non-interactive plot | Interactive plot

position vs time
speed & acceleration