🇳🇴 🇬🇧 🇩🇪 🇨🇿 🇫🇮

Meteor over Bergset 2026-04-24 23:22:18 UTC

Hågår – 2
Hågår – 2
Hågår – 3
Hågår – 3
Harestua – 1
Harestua – 1

KML file  | Interactive map

map

The map shows the bearings for the meteor. The lighter lines show the directions from the observation sites at the meteor's appearance, and the darker lines show where it was last seen. The blue arrow indicates the visible path of the meteor.

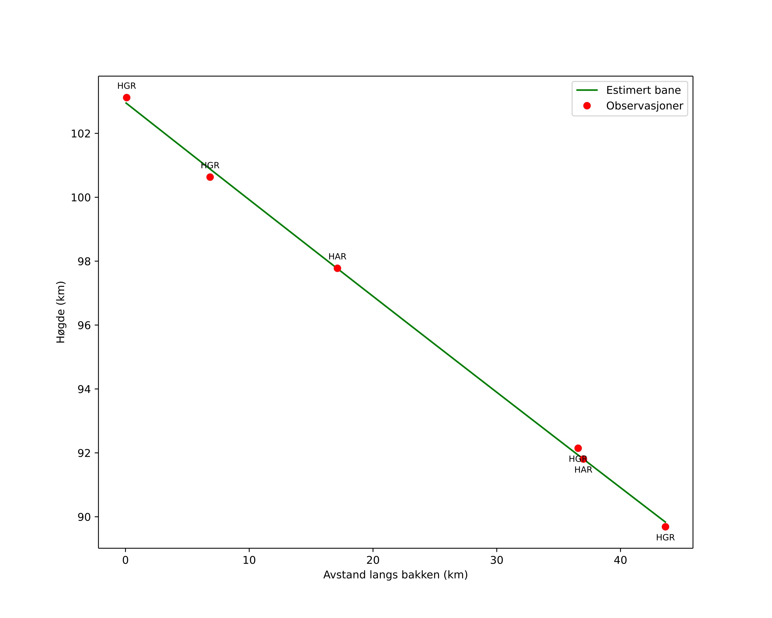
height profile
wind profile
Meteor's Atmospheric Trajectory:
Start height: 104.6 km
End height: 92.8 km
Start position: 61.883N 12.328E
End position: 61.857N 11.514E
Direction: 266.5°
Inclination angle: 15.4°
Entry speed: 65.9 km/s
Radiant R.A.: 20:05 (301.4°)
Radiant Dec.: 14.6°
Meteor Shower: sporadic
Meteoroid's Orbital Elements:
Perihelion distance: 1.000 AU
Eccentricity: 1.149
Inclination: 123.4°
Long. of Asc. Node: 34.4°
Argument of Perihelion: 171.8°
Mean Anomaly: 0.3°
Epoch: 2026 APR 24 23:22:18
orbit

Non-interactive plot | Interactive plot

position vs time
speed & acceleration