🇳🇴
🇬🇧
🇩🇪
🇨🇿
🇫🇮
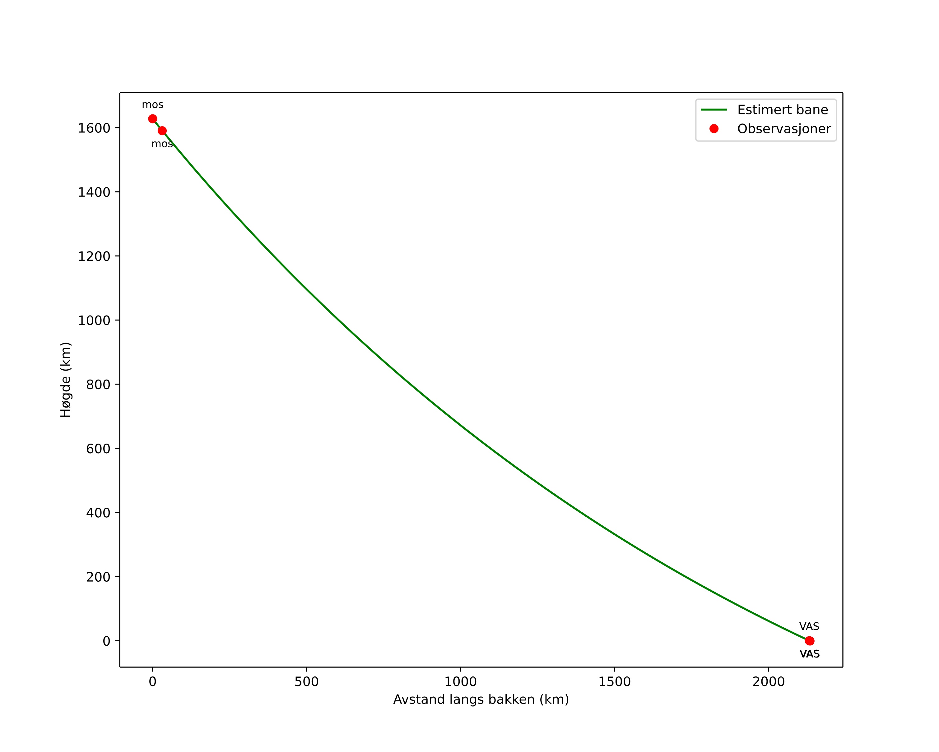
Meteor Report
2026-04-25
21:56:34 UTC
Västerås – 1
Västerås – 5
Västerås – 1
Västerås – 5
Videos
Gnomonic
Gnomonic with coordinates
Original
Images
Gnomonic
Gnomonic with coordinates
Original
Original with coordinates
Text Files
Detection
Observation
Coordinates
Log
Videos
Gnomonic
Gnomonic with coordinates
Original
Images
Gnomonic
Gnomonic with coordinates
Original
Original with coordinates
Text Files
Detection
Observation
Coordinates
Log