๐Ÿ‡ณ๐Ÿ‡ด ๐Ÿ‡ฌ๐Ÿ‡ง ๐Ÿ‡ฉ๐Ÿ‡ช ๐Ÿ‡จ๐Ÿ‡ฟ ๐Ÿ‡ซ๐Ÿ‡ฎ

Meteor over Svelvik 2026-04-25 22:46:59 UTC

Harestua โ€“ 7
Harestua โ€“ 7
Larvik โ€“ 6
Larvik โ€“ 6
Moss โ€“ 6
Moss โ€“ 6
Voksenlia โ€“ 6
Voksenlia โ€“ 6

KML file  | Interactive map

map

The map shows the bearings for the meteor. The lighter lines show the directions from the observation sites at the meteor's appearance, and the darker lines show where it was last seen. The blue arrow indicates the visible path of the meteor.

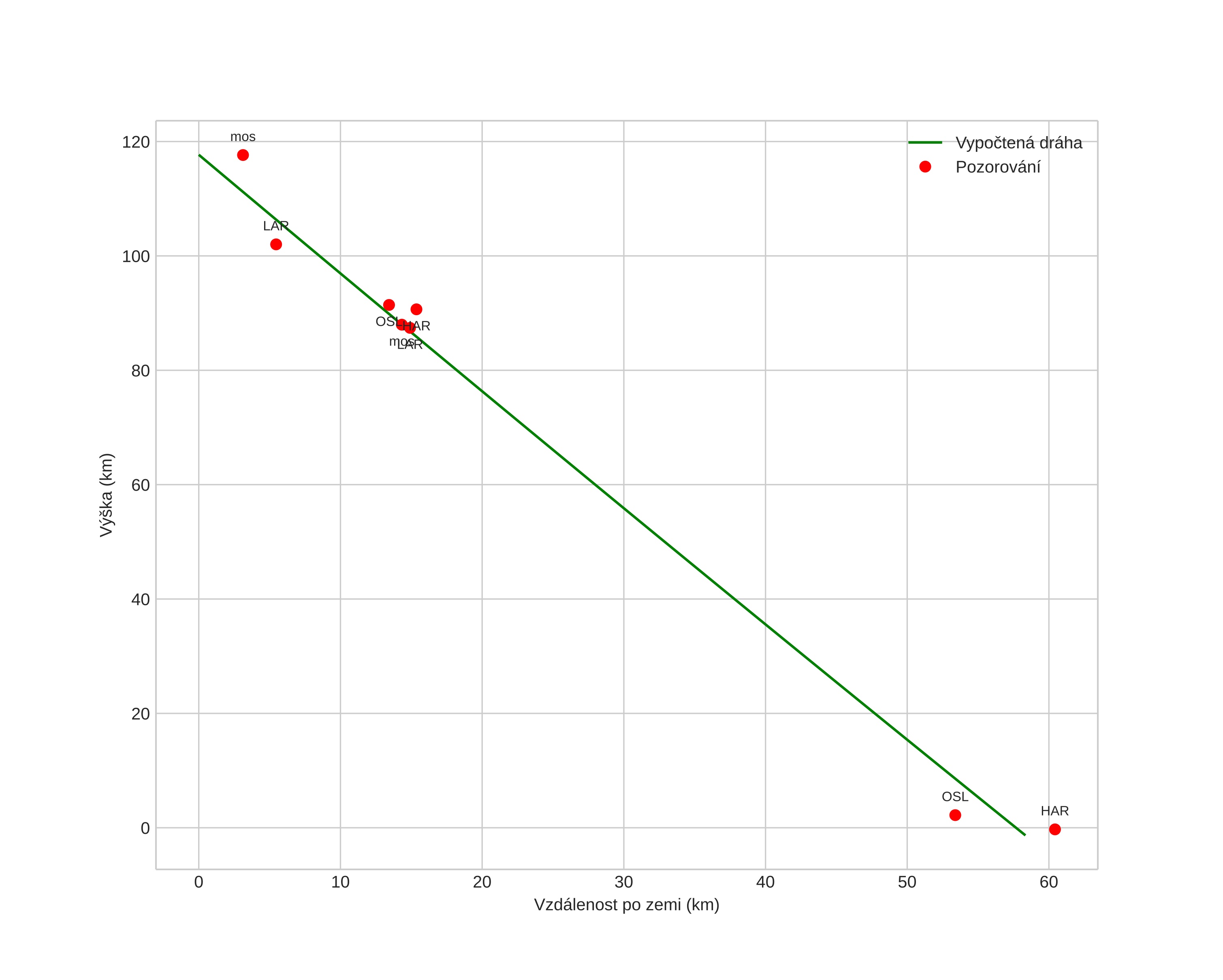
height profile
wind profile
Meteor's Atmospheric Trajectory:
Start height: 103.6 km
End height: 88.7 km
Start position: 59.357N 10.719E
End position: 59.564N 10.455E
Direction: 327.2ยฐ
Inclination angle: 28.5ยฐ
Entry speed: 40.0 km/s
Radiant R.A.: 15:37 (234.5ยฐ)
Radiant Dec.: 0.7ยฐ
Meteor Shower: sporadic
Meteoroid's Orbital Elements:
Perihelion distance: 0.310 AU
Eccentricity: 0.978
Inclination: 33.5ยฐ
Long. of Asc. Node: 35.4ยฐ
Argument of Perihelion: 293.6ยฐ
Mean Anomaly: 359.3ยฐ
Epoch: 2026 APR 25 22:46:59
orbit

Non-interactive plot | Interactive plot

position vs time
speed & acceleration