๐Ÿ‡ณ๐Ÿ‡ด ๐Ÿ‡ฌ๐Ÿ‡ง ๐Ÿ‡ฉ๐Ÿ‡ช ๐Ÿ‡จ๐Ÿ‡ฟ ๐Ÿ‡ซ๐Ÿ‡ฎ

Meteor over Tanumshede 2026-04-26 01:20:54 UTC

Larvik โ€“ 3
Larvik โ€“ 3
Larvik โ€“ 7
Larvik โ€“ 7
Moss โ€“ 3
Moss โ€“ 3
Moss โ€“ 7
Moss โ€“ 7
Voksenlia โ€“ 4
Voksenlia โ€“ 4
Voksenlia โ€“ 6
Voksenlia โ€“ 6

KML file  | Interactive map

map

The map shows the bearings for the meteor. The lighter lines show the directions from the observation sites at the meteor's appearance, and the darker lines show where it was last seen. The blue arrow indicates the visible path of the meteor.

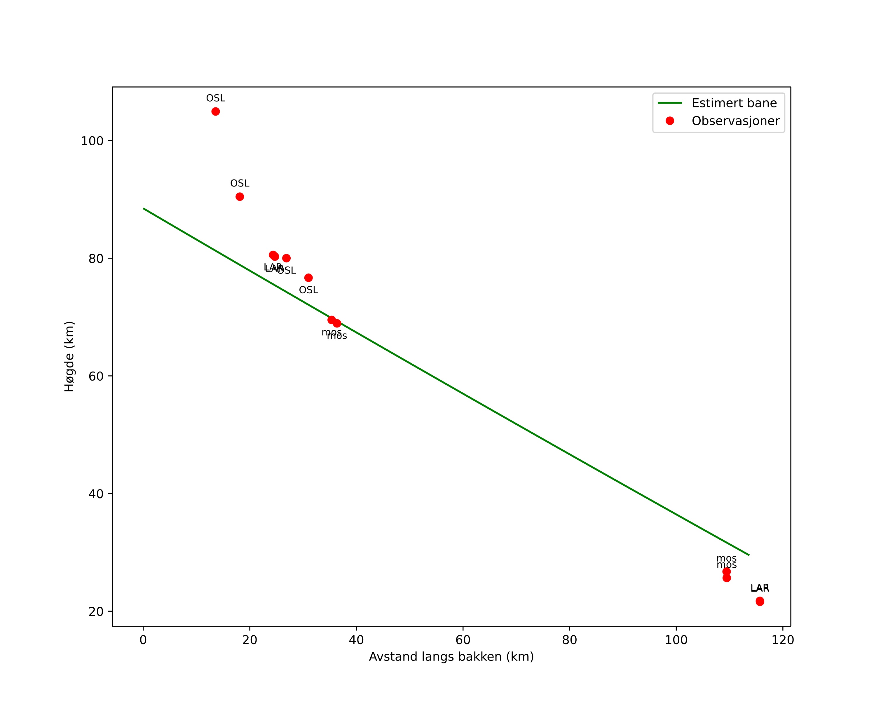
height profile
wind profile
Meteor's Atmospheric Trajectory:
Start height: 97.3 km
End height: 82.3 km
Start position: 58.911N 11.862E
End position: 58.800N 11.597E
Direction: 231.1ยฐ
Inclination angle: 37.4ยฐ
Entry speed: 38.1 km/s
Radiant R.A.: 23:09 (347.4ยฐ)
Radiant Dec.: 50.2ยฐ
Meteor Shower: sporadic
Meteoroid's Orbital Elements:
Perihelion distance: 0.708 AU
Eccentricity: 0.986
Inclination: 51.8ยฐ
Long. of Asc. Node: 35.5ยฐ
Argument of Perihelion: 113.8ยฐ
Mean Anomaly: 0.1ยฐ
Epoch: 2026 APR 26 01:20:54
orbit

Non-interactive plot | Interactive plot

position vs time
speed & acceleration