🇳🇴 🇬🇧 🇩🇪 🇨🇿 🇫🇮

Meteor, poloha: Kinsarvik 2015-04-02 21:41:06 UTC

Soubor KML  |  InteraktivnĂ­ mapa

Mapa zobrazuje dráhy meteoru. Světlejší čáry ukazují směry od pozorovacích stanic při objevení se meteoru a tmavší čáry, kde byl naposledy viděn. Modrá šipka značí viditelnou dráhu meteoru.

static map
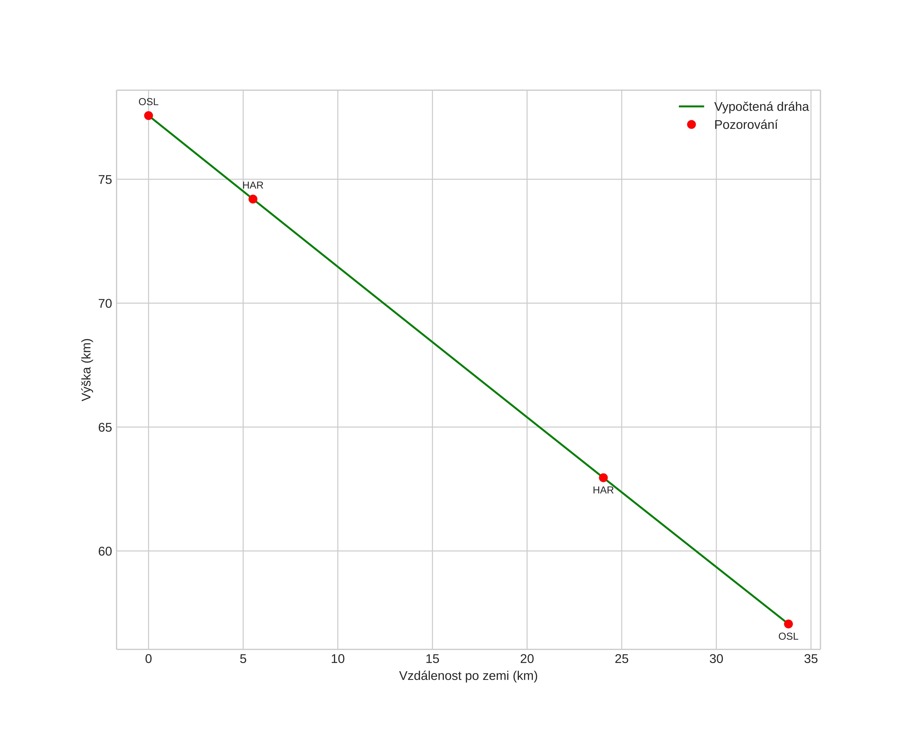
height profile
Atmosférická dráha meteoru:
Počáteční výška: 77,6 km
Konečná výška: 57,1 km
Počáteční poloha: 60,085N 6,787E
Konečná poloha: 60,386N 6,876E
Směr: 8,3°
Sklon: 31,2°
VstupnĂ­ rychlost: 21,5 km/s
Rektascenze radiantu: 10:18 (154,6°)
Deklinace radiantu: -3,3°
MeteorickĂ˝ roj: sporadickĂ˝
Elementy dráhy meteoroidu:
Vzdálenost v periheliu: 0,891 AU
Excentricita: 1,051
Sklon dráhy: 5,9°
Délka vzestupného uzlu: 192,6°
Argument perihelia: 38,0°
Střední anomálie: -0,3°
Epocha: 2015 APR 02 21:41:06
orbit plot

NeinteraktivnĂ­ graf | InteraktivnĂ­ graf

position vs time
speed and acceleration

Voksenlia (OSL) cam2


gnomonic
Videa
• Gnomonická
• Gnomonická se souřadnicemi
• Původní
• Původní se souřadnicemi
Obrázky
• Gnomonická
• Gnomonická se souřadnicemi
• Původní
• Původní se souřadnicemi
• Původní s maskou
Textové soubory
• Detekce
• Pozorování
• Souřadnice
• Protokol
Jasnost