🇳🇴 🇬🇧 🇩🇪 🇨🇿 🇫🇮

Meteor Vangin yllä 2015-04-26 21:23:53 UTC

KML-tiedosto  |  Interaktiivinen kartta

Kartta näyttää meteorin suuntahavainnot. Vaaleammat viivat näyttävät suunnat havaintoasemilta meteorin ilmestyessä, ja tummemmat viivat näyttävät, missä se viimeksi nähtiin. Sininen nuoli näyttää meteorin näkyvän lennon.

static map
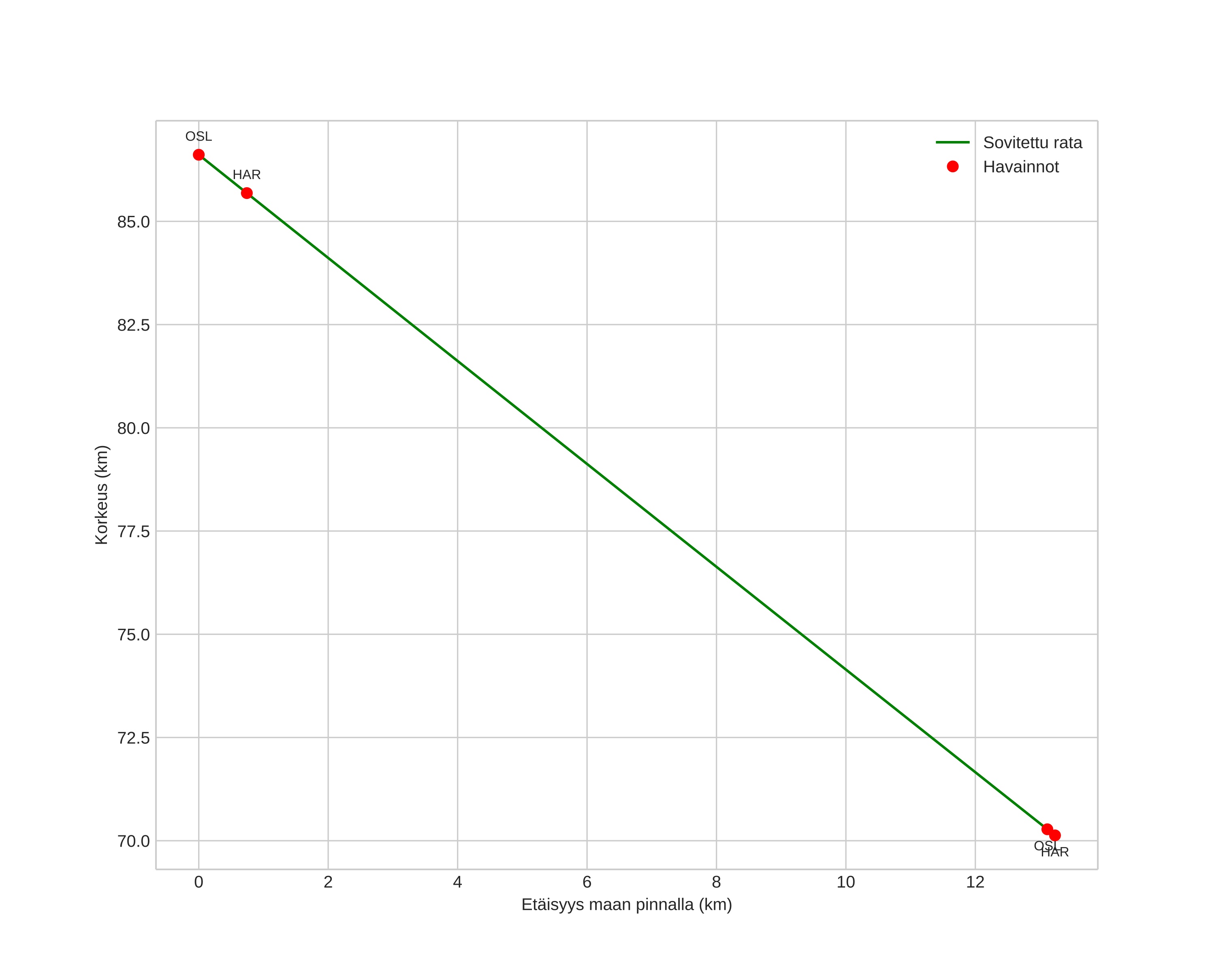
height profile
Meteorin ilmakehärata:
Alkukorkeus: 86,6 km
Loppukorkeus: 70,1 km
Alkupiste: 61,108N 8,682E
Loppupiste: 61,227N 8,678E
Suunta: 359,0°
Kallistuskulma: 51,3°
Tulonopeus: 25,3 km/s
Radiantin R,A,: 12:16 (184,0°)
Radiantin Dekl,: 20,2°
Meteoriparvi: Sporadinen
Meteoroidin rataelementit:
Perihelietäisyys: 0,911 AU
Eksentrisyys: 1,450
Inklinaatio: 10,2°
Nousevan solmun pituus: 36,1°
Perihelin argumentti: 212,9°
Keskianomalia: -6,8°
Epookki: 2015 APR 26 21:23:53
orbit plot

Ei-interaktiivinen kuvaaja | Interaktiivinen kuvaaja

position vs time
speed and acceleration

Solobservatoriet (HAR) cam1


gnomonic
Videot:
• Gnomoninen
• Gnomoninen koordinaateilla
• Alkuperäinen
• Alkuperäinen koordinaateilla
Kuvat:
• Gnomoninen
• Gnomoninen koordinaateilla
• Alkuperäinen
• Alkuperäinen koordinaateilla
• Alkuperäinen maskilla
Tekstitiedostot:
• Havaintoraportti
• Observaatio
• Loki
Kirkkaus

Voksenlia (OSL) cam2


gnomonic
Videot:
• Gnomoninen
• Gnomoninen koordinaateilla
• Alkuperäinen
• Alkuperäinen koordinaateilla
Kuvat:
• Gnomoninen
• Gnomoninen koordinaateilla
• Alkuperäinen
• Alkuperäinen koordinaateilla
• Alkuperäinen maskilla
Tekstitiedostot:
• Havaintoraportti
• Observaatio
• Koordinaatit
• Loki
Kirkkaus