🇳🇴 🇬🇧 🇩🇪 🇨🇿 🇫🇮

Meteor, poloha: Torsby 2015-04-27 00:23:46 UTC

Soubor KML  |  Interaktivní mapa

Mapa zobrazuje dráhy meteoru. Světlejší čáry ukazují směry od pozorovacích stanic při objevení se meteoru a tmavší čáry, kde byl naposledy viděn. Modrá šipka značí viditelnou dráhu meteoru.

static map
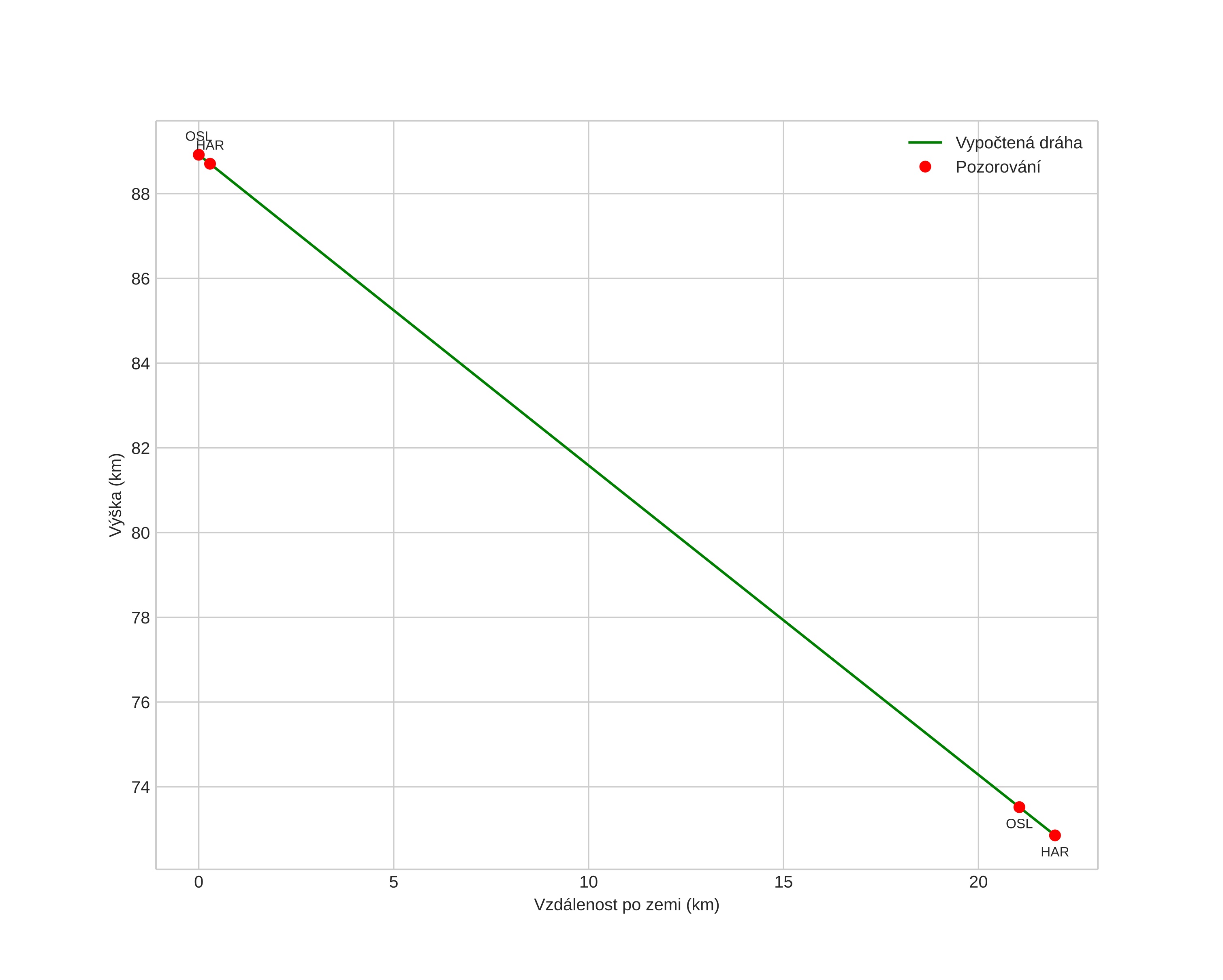
height profile
Atmosférická dráha meteoru:
Počáteční výška: 88,9 km
Konečná výška: 72,9 km
Počáteční poloha: 60,494N 12,634E
Konečná poloha: 60,551N 13,018E
Směr: 73,0°
Sklon: 36,1°
Vstupní rychlost: 14,3 km/s
Rektascenze radiantu: 11:14 (168,5°)
Deklinace radiantu: 12,1°
Meteorický roj: sporadický
Elementy dráhy meteoroidu:
Vzdálenost v periheliu: 0,978 AU
Excentricita: 0,588
Sklon dráhy: 1,7°
Délka vzestupného uzlu: 36,3°
Argument perihelia: 202,3°
Střední anomálie: 355,2°
Epocha: 2015 APR 27 00:23:46
orbit plot

Neinteraktivní graf | Interaktivní graf

position vs time
speed and acceleration