🇳🇴 🇬🇧 🇩🇪 🇨🇿 🇫🇮

Meteor, poloha: Årjäng 2015-05-21 00:58:09 UTC

Soubor KML  |  Interaktivní mapa

Mapa zobrazuje dráhy meteoru. Světlejší čáry ukazují směry od pozorovacích stanic při objevení se meteoru a tmavší čáry, kde byl naposledy viděn. Modrá šipka značí viditelnou dráhu meteoru.

static map
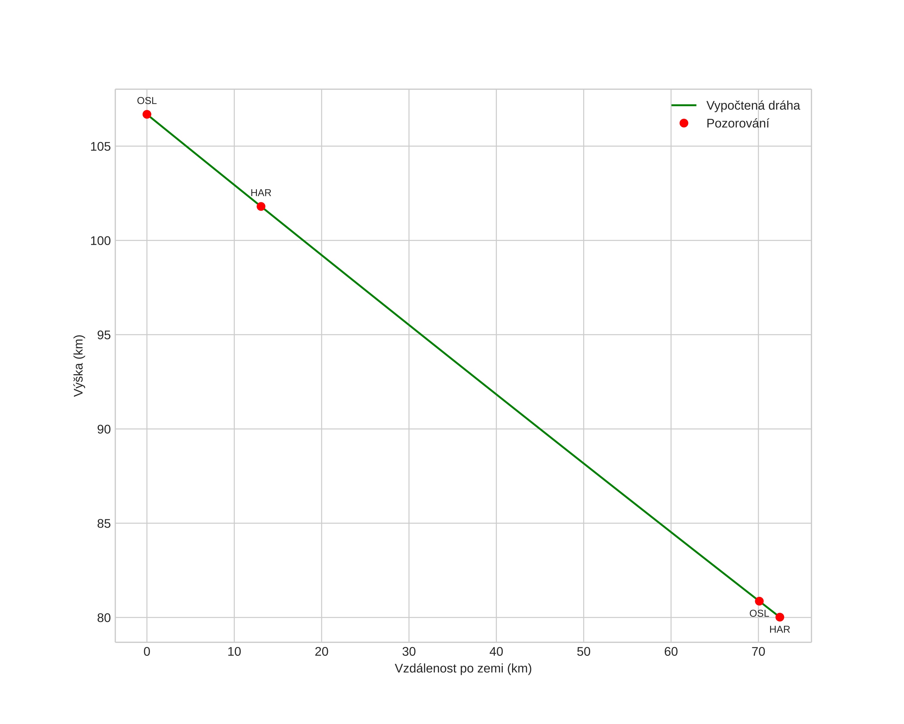
height profile
Atmosférická dráha meteoru:
Počáteční výška: 106,7 km
Konečná výška: 80,0 km
Počáteční poloha: 58,749N 12,706E
Konečná poloha: 59,273N 11,954E
Směr: 323,9°
Sklon: 20,2°
Vstupní rychlost: 68,6 km/s
Rektascenze radiantu: 19:56 (299,0°)
Deklinace radiantu: -6,2°
Meteorický roj: sporadický
Elementy dráhy meteoroidu:
Vzdálenost v periheliu: 0,545 AU
Excentricita: 1,186
Sklon dráhy: 148,7°
Délka vzestupného uzlu: 59,5°
Argument perihelia: 261,4°
Střední anomálie: -7,0°
Epocha: 2015 MAY 21 00:58:09
orbit plot

Neinteraktivní graf | Interaktivní graf

position vs time
speed and acceleration