🇳🇴 🇬🇧 🇩🇪 🇨🇿 🇫🇮

Meteor, poloha: Bø 2015-06-03 23:04:59 UTC

Soubor KML  |  InteraktivnĂ­ mapa

Mapa zobrazuje dráhy meteoru. Světlejší čáry ukazují směry od pozorovacích stanic při objevení se meteoru a tmavší čáry, kde byl naposledy viděn. Modrá šipka značí viditelnou dráhu meteoru.

static map
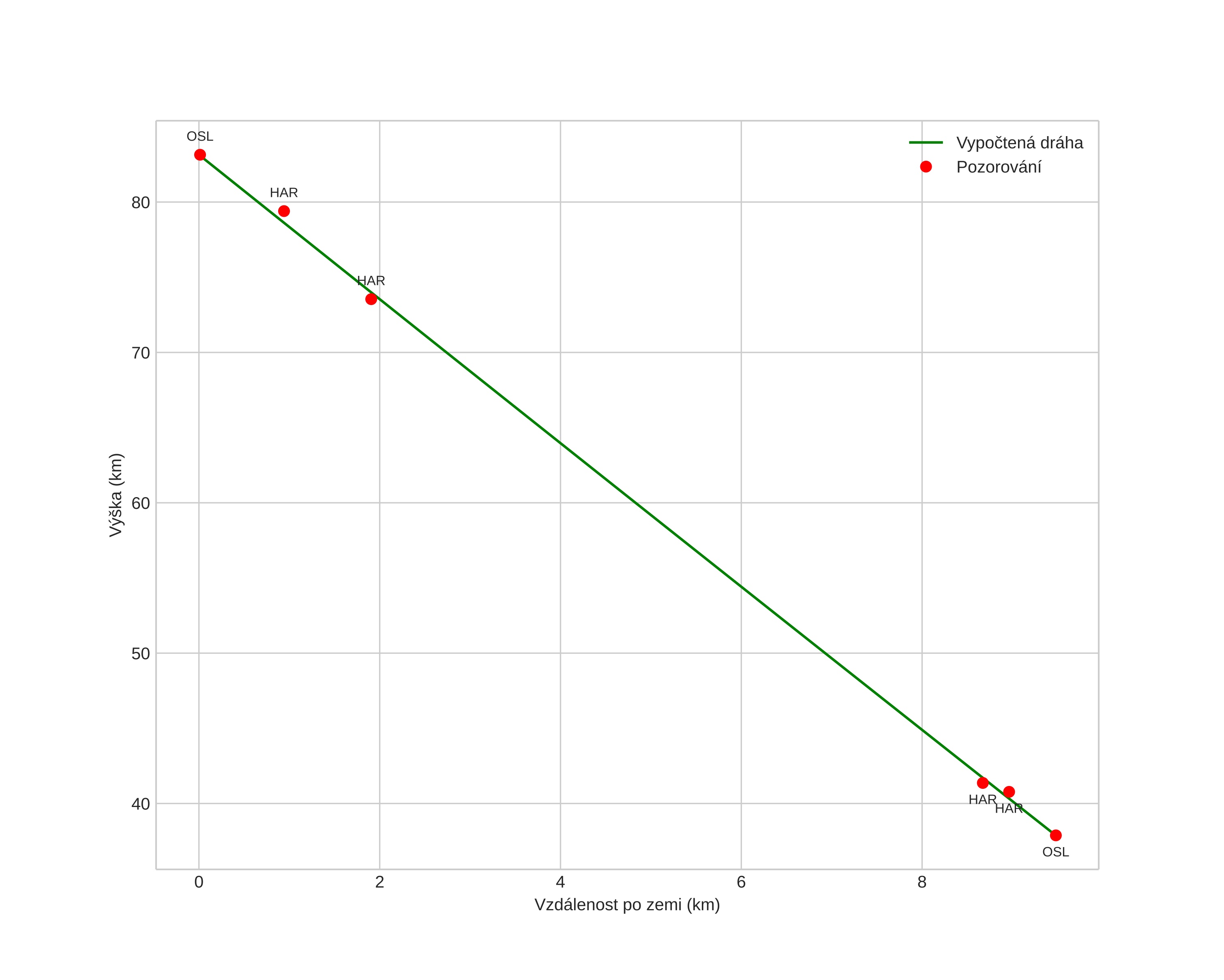
height profile
Atmosférická dráha meteoru:
Počáteční výška: 83,1 km
Konečná výška: 37,9 km
Počáteční poloha: 59,263N 8,750E
Konečná poloha: 59,302N 8,898E
Směr: 62,5°
Sklon: 78,2°
VstupnĂ­ rychlost: 17,5 km/s
Rektascenze radiantu: 15:05 (226,4°)
Deklinace radiantu: 51,1°
MeteorickĂ˝ roj: sporadickĂ˝
Elementy dráhy meteoroidu:
Vzdálenost v periheliu: 1,005 AU
Excentricita: 0,543
Sklon dráhy: 19,3°
Délka vzestupného uzlu: 72,8°
Argument perihelia: 192,8°
Střední anomálie: 356,8°
Epocha: 2015 JUN 03 23:04:59
orbit plot

NeinteraktivnĂ­ graf | InteraktivnĂ­ graf

position vs time
speed and acceleration

Solobservatoriet (HAR) cam4

fireball
gnomonic
Videa
• Gnomonická
• Gnomonická se souřadnicemi
• Původní
• Původní se souřadnicemi
Obrázky
• Gnomonická
• Gnomonická se souřadnicemi
• Původní
• Původní se souřadnicemi
• Původní s maskou
Textové soubory
• Detekce
• Pozorování
• Protokol
Jasnost