🇳🇴 🇬🇧 🇩🇪 🇨🇿 🇫🇮

Meteor, poloha: Tranby 2015-08-03 01:28:14 UTC

Soubor KML  |  InteraktivnĂ­ mapa

Mapa zobrazuje dráhy meteoru. Světlejší čáry ukazují směry od pozorovacích stanic při objevení se meteoru a tmavší čáry, kde byl naposledy viděn. Modrá šipka značí viditelnou dráhu meteoru.

static map
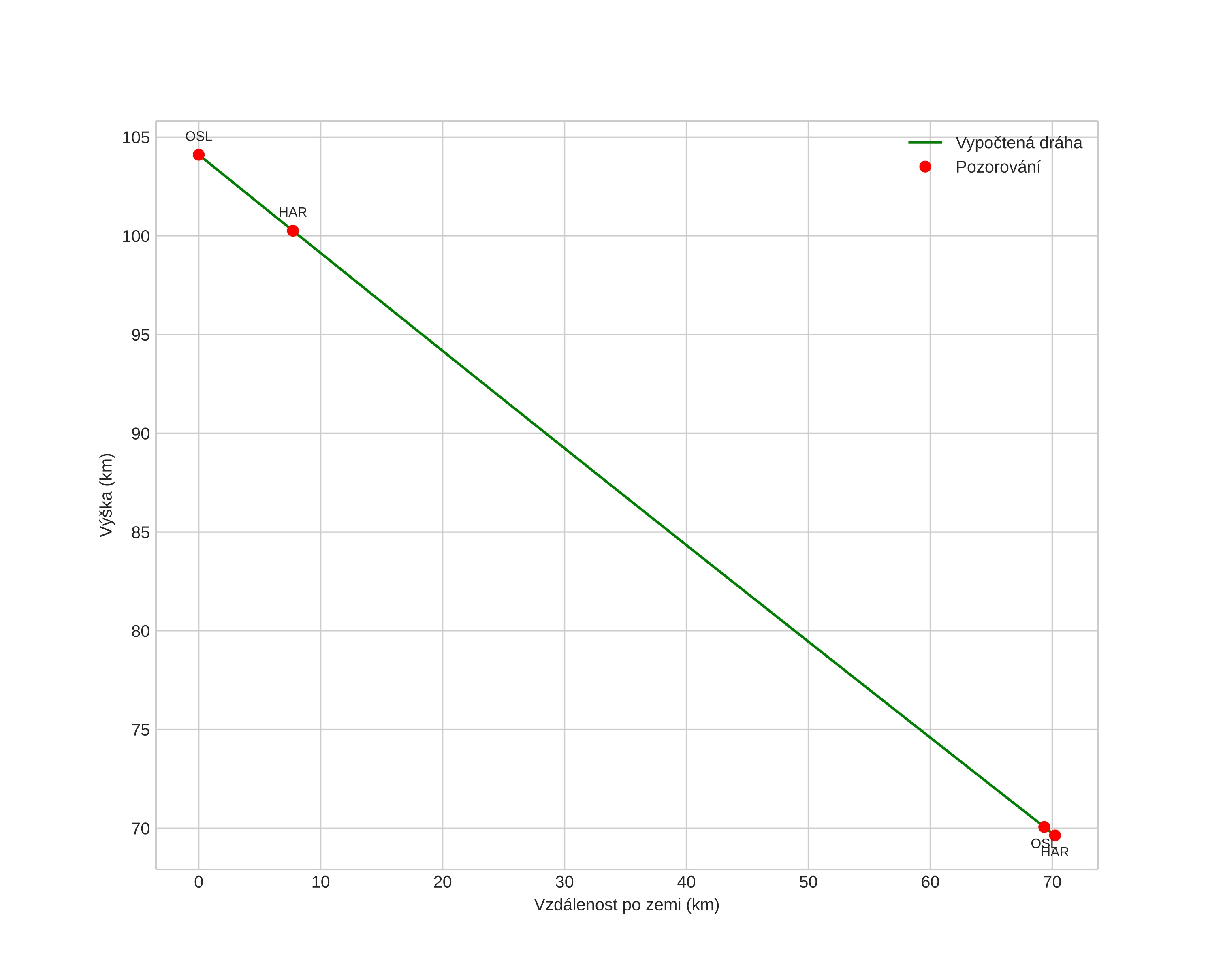
height profile
Atmosférická dráha meteoru:
Počáteční výška: 104,1 km
Konečná výška: 69,6 km
Počáteční poloha: 60,361N 10,940E
Konečná poloha: 59,857N 10,176E
Směr: 217,4°
Sklon: 26,2°
VstupnĂ­ rychlost: 43,6 km/s
Rektascenze radiantu: 07:25 (111,4°)
Deklinace radiantu: 46,5°
MeteorickĂ˝ roj: sporadickĂ˝
Elementy dráhy meteoroidu:
Vzdálenost v periheliu: 0,283 AU
Excentricita: 0,981
Sklon dráhy: 51,8°
Délka vzestupného uzlu: 130,2°
Argument perihelia: 62,9°
Střední anomálie: 0,6°
Epocha: 2015 AUG 03 01:28:14
orbit plot

NeinteraktivnĂ­ graf | InteraktivnĂ­ graf

position vs time
speed and acceleration