🇳🇴 🇬🇧 🇩🇪 🇨🇿 🇫🇮

Meteor Hurdalin yllä 2015-08-11 23:19:25 UTC

KML-tiedosto  |  Interaktiivinen kartta

Kartta näyttää meteorin suuntahavainnot. Vaaleammat viivat näyttävät suunnat havaintoasemilta meteorin ilmestyessä, ja tummemmat viivat näyttävät, missä se viimeksi nähtiin. Sininen nuoli näyttää meteorin näkyvän lennon.

static map
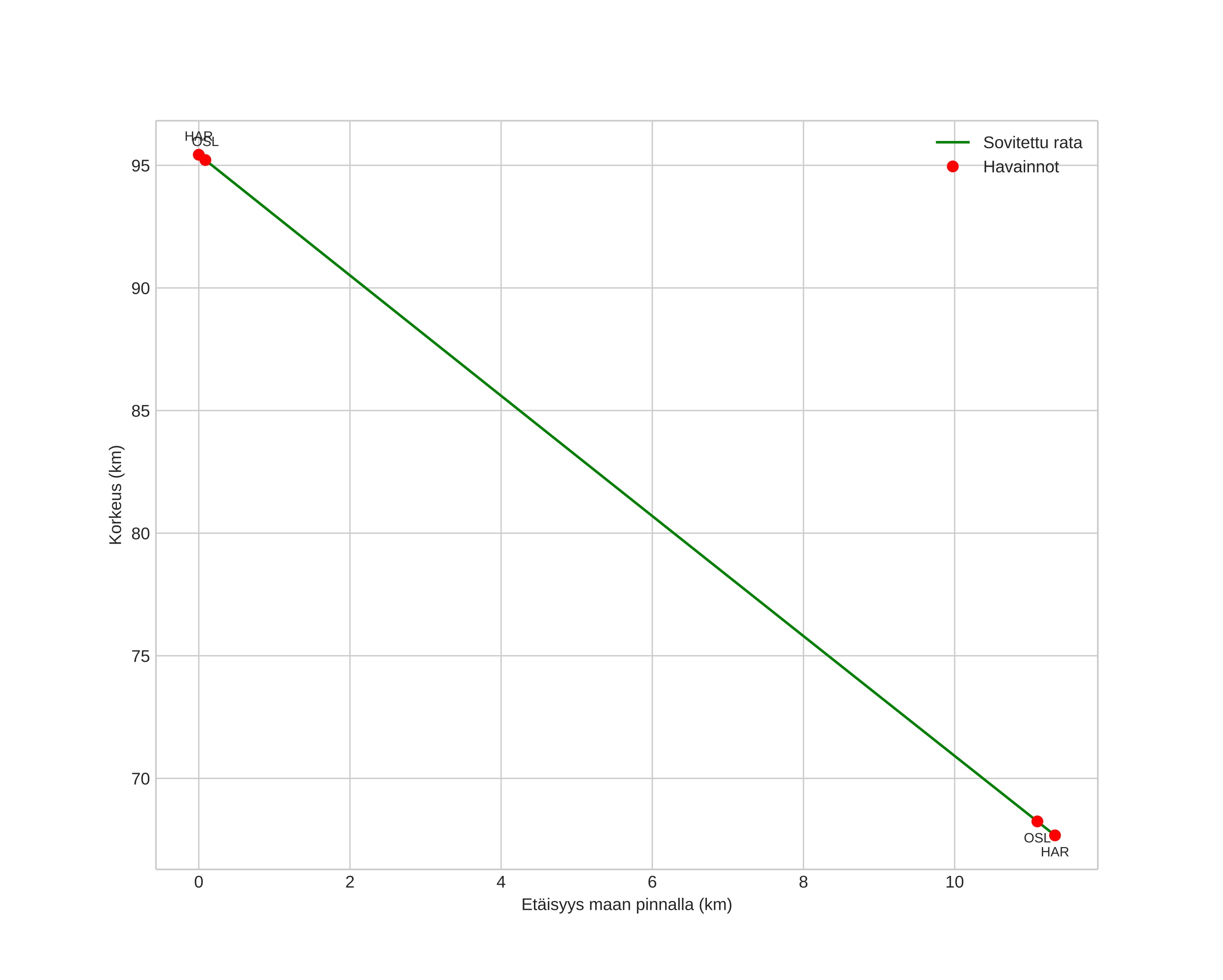
height profile
Meteorin ilmakehärata:
Alkukorkeus: 95,4 km
Loppukorkeus: 67,7 km
Alkupiste: 60,444N 10,782E
Loppupiste: 60,433N 10,987E
Suunta: 95,9°
Kallistuskulma: 67,8°
Tulonopeus: 23,3 km/s
Radiantin R,A,: 18:24 (276,1°)
Radiantin Dekl,: 54,3°
Meteoriparvi: Kappa-sygnidit
Meteoroidin rataelementit:
Perihelietäisyys: 0,998 AU
Eksentrisyys: 0,637
Inklinaatio: 32,2°
Nousevan solmun pituus: 138,8°
Perihelin argumentti: 196,0°
Keskianomalia: 357,2°
Epookki: 2015 AUG 11 23:19:25
orbit plot

Ei-interaktiivinen kuvaaja | Interaktiivinen kuvaaja

position vs time
speed and acceleration