🇳🇴 🇬🇧 🇩🇪 🇨🇿 🇫🇮

Meteor, poloha: Grästorp 2015-08-29 01:18:25 UTC

Soubor KML  |  InteraktivnĂ­ mapa

Mapa zobrazuje dráhy meteoru. Světlejší čáry ukazují směry od pozorovacích stanic při objevení se meteoru a tmavší čáry, kde byl naposledy viděn. Modrá šipka značí viditelnou dráhu meteoru.

static map
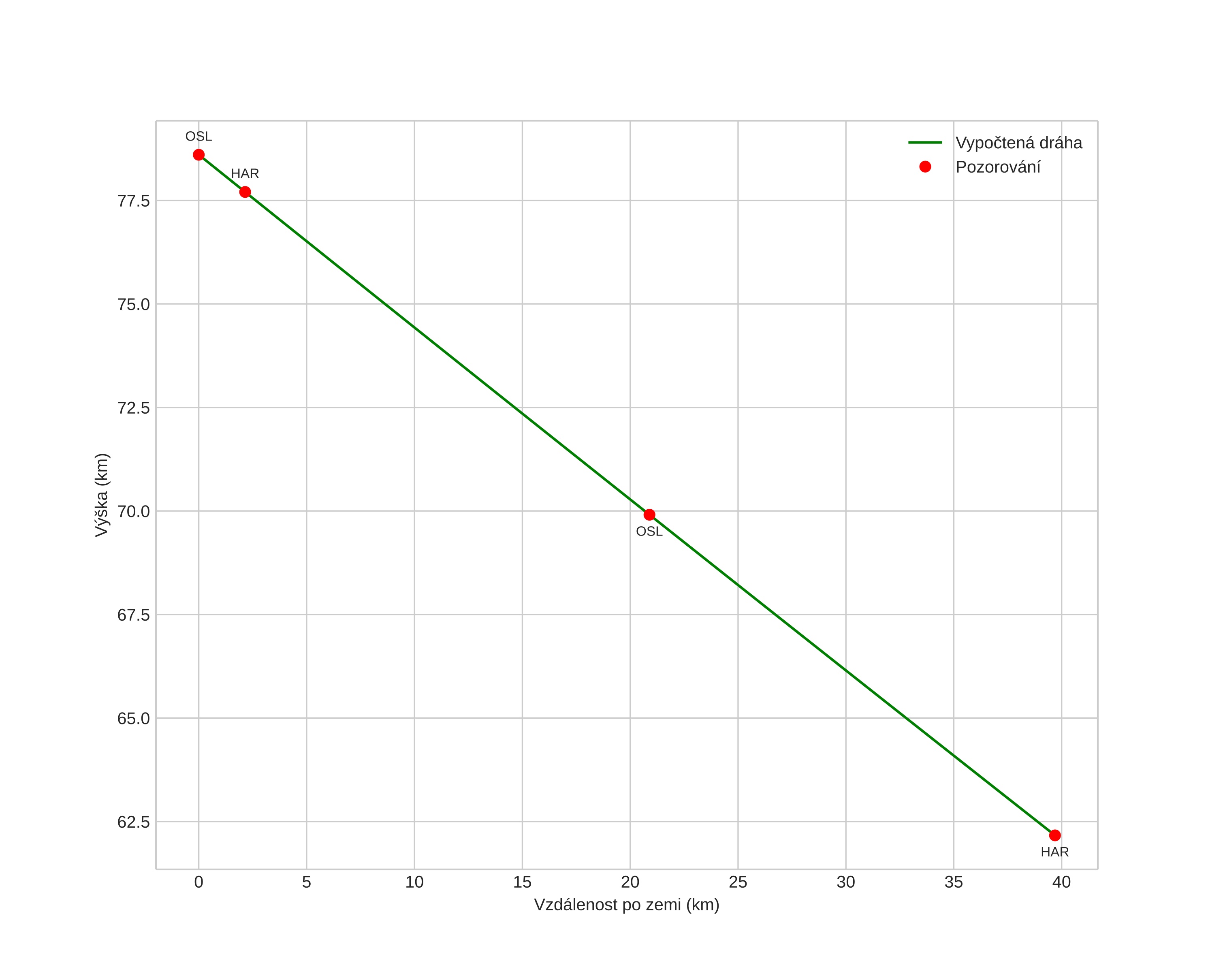
height profile
Atmosférická dráha meteoru:
Počáteční výška: 78,6 km
Konečná výška: 62,2 km
Počáteční poloha: 58,229N 12,452E
Konečná poloha: 58,521N 12,842E
Směr: 34,8°
Sklon: 22,4°
VstupnĂ­ rychlost: 21,5 km/s
Rektascenze radiantu: 22:17 (334,4°)
Deklinace radiantu: -9,9°
MeteorickĂ˝ roj: sporadickĂ˝
Elementy dráhy meteoroidu:
Vzdálenost v periheliu: 0,637 AU
Excentricita: 0,655
Sklon dráhy: 0,4°
Délka vzestupného uzlu: 155,3°
Argument perihelia: 266,0°
Střední anomálie: 340,9°
Epocha: 2015 AUG 29 01:18:25
orbit plot

NeinteraktivnĂ­ graf | InteraktivnĂ­ graf

position vs time
speed and acceleration