🇳🇴 🇬🇧 🇩🇪 🇨🇿 🇫🇮

Meteor, poloha: Hundorp 2015-08-31 00:54:01 UTC

Soubor KML  |  InteraktivnĂ­ mapa

Mapa zobrazuje dráhy meteoru. Světlejší čáry ukazují směry od pozorovacích stanic při objevení se meteoru a tmavší čáry, kde byl naposledy viděn. Modrá šipka značí viditelnou dráhu meteoru.

static map
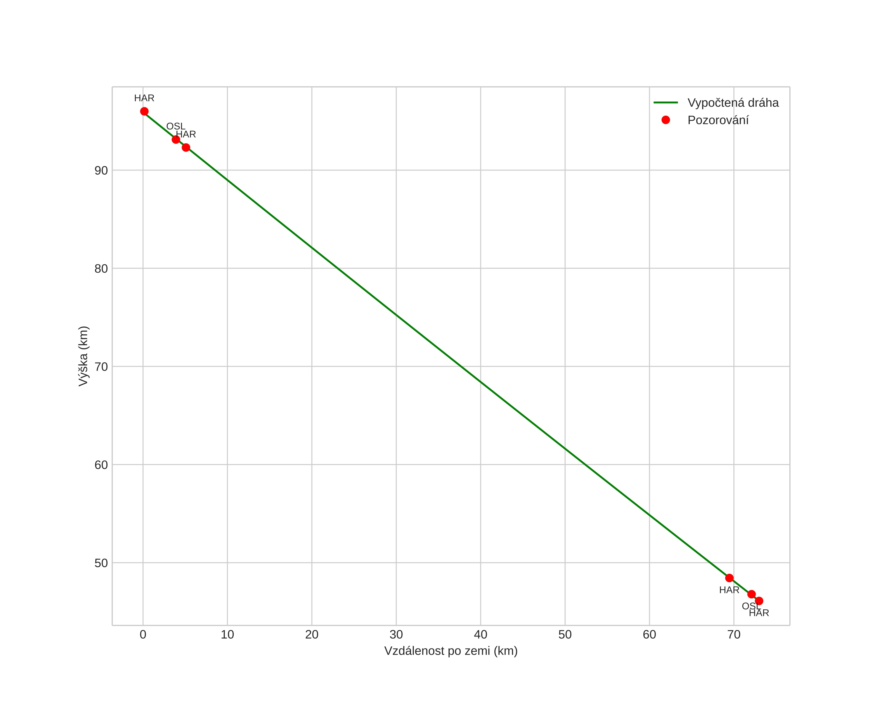
height profile
Atmosférická dráha meteoru:
Počáteční výška: 95,9 km
Konečná výška: 46,1 km
Počáteční poloha: 60,717N 9,615E
Konečná poloha: 61,361N 9,873E
Směr: 10,9°
Sklon: 34,3°
VstupnĂ­ rychlost: 35,6 km/s
Rektascenze radiantu: 23:28 (352,2°)
Deklinace radiantu: 3,8°
MeteorickĂ˝ roj: sporadickĂ˝
Elementy dráhy meteoroidu:
Vzdálenost v periheliu: 0,237 AU
Excentricita: 0,919
Sklon dráhy: 11,2°
Délka vzestupného uzlu: 157,1°
Argument perihelia: 306,7°
Střední anomálie: 352,4°
Epocha: 2015 AUG 31 00:54:01
orbit plot

NeinteraktivnĂ­ graf | InteraktivnĂ­ graf

position vs time
speed and acceleration