🇳🇴 🇬🇧 🇩🇪 🇨🇿 🇫🇮

Meteor, poloha: Lærdalsøyri 2015-09-25 20:22:01 UTC

Soubor KML  |  InteraktivnĂ­ mapa

Mapa zobrazuje dráhy meteoru. Světlejší čáry ukazují směry od pozorovacích stanic při objevení se meteoru a tmavší čáry, kde byl naposledy viděn. Modrá šipka značí viditelnou dráhu meteoru.

static map
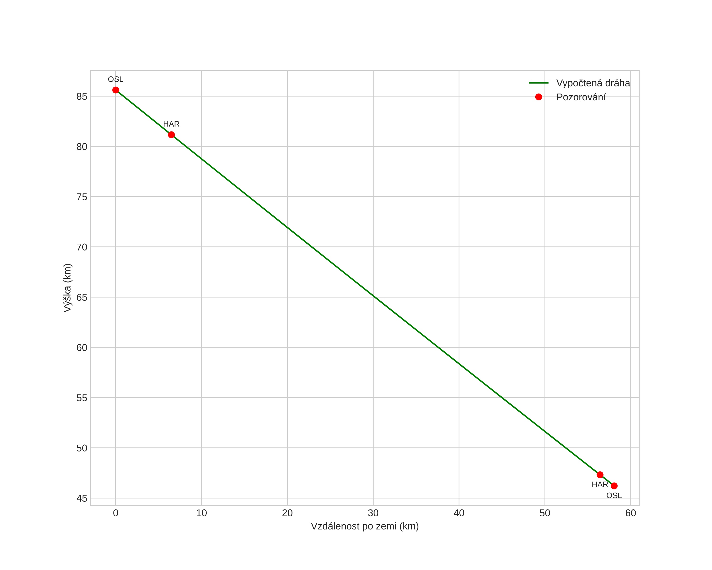
height profile
Atmosférická dráha meteoru:
Počáteční výška: 85,6 km
Konečná výška: 46,2 km
Počáteční poloha: 60,591N 8,341E
Konečná poloha: 60,889N 7,463E
Směr: 305,1°
Sklon: 34,2°
VstupnĂ­ rychlost: 24,5 km/s
Rektascenze radiantu: 00:13 (3,4°)
Deklinace radiantu: 11,6°
MeteorickĂ˝ roj: sporadickĂ˝
Elementy dráhy meteoroidu:
Vzdálenost v periheliu: 0,518 AU
Excentricita: 0,697
Sklon dráhy: 7,2°
Délka vzestupného uzlu: 182,2°
Argument perihelia: 280,2°
Střední anomálie: 338,5°
Epocha: 2015 SEP 25 20:22:01
orbit plot

NeinteraktivnĂ­ graf | InteraktivnĂ­ graf

position vs time
speed and acceleration