🇳🇴 🇬🇧 🇩🇪 🇨🇿 🇫🇮

Meteor Lervikin yllä 2015-09-27 18:21:03 UTC

KML-tiedosto  |  Interaktiivinen kartta

Kartta näyttää meteorin suuntahavainnot. Vaaleammat viivat näyttävät suunnat havaintoasemilta meteorin ilmestyessä, ja tummemmat viivat näyttävät, missä se viimeksi nähtiin. Sininen nuoli näyttää meteorin näkyvän lennon.

static map
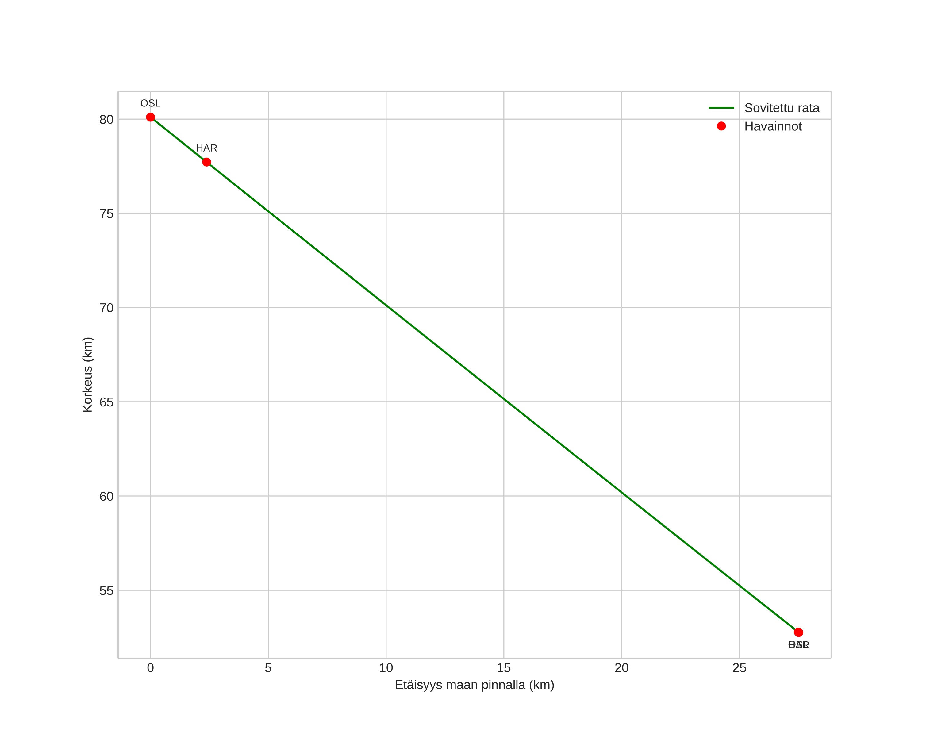
height profile
Meteorin ilmakehärata:
Alkukorkeus: 80,1 km
Loppukorkeus: 52,8 km
Alkupiste: 59,213N 10,340E
Loppupiste: 59,283N 10,804E
Suunta: 73,6°
Kallistuskulma: 44,8°
Tulonopeus: 17,5 km/s
Radiantin R,A,: 15:41 (235,4°)
Radiantin Dekl,: 24,8°
Meteoriparvi: Sporadinen
Meteoroidin rataelementit:
Perihelietäisyys: 0,959 AU
Eksentrisyys: 0,662
Inklinaatio: 14,5°
Nousevan solmun pituus: 184,1°
Perihelin argumentti: 153,0°
Keskianomalia: 4,3°
Epookki: 2015 SEP 27 18:21:03
orbit plot

Ei-interaktiivinen kuvaaja | Interaktiivinen kuvaaja

position vs time
speed and acceleration